2
svar
127
visningar
daka behöver inte mer hjälp
Envariabelanalys, standardgränsvärden

svaret ska bli 1, kändes som jag var på rätt väg men i guess not
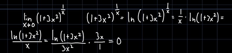
Obs: (1+3x2)1/x = exp(ln((1+3x2)1/x)) -> exp(0) = 1 då x -> 0.
Tillägg: 21 feb 2024 16:45
exp(x) = ex.
PATENTERAMERA skrev:Obs: (1+3x2)1/x = exp(ln((1+3x2)1/x)) -> exp(0) = 1 då x -> 0.
Tillägg: 21 feb 2024 16:45
exp(x) = ex.
Yes, tack för hjälpen!