Envariabelsanalys. Beräkna sin(arctan 2 - arcsin 1/sqrt(10))
Hej! Jag har fastnat på b) uppgiften.
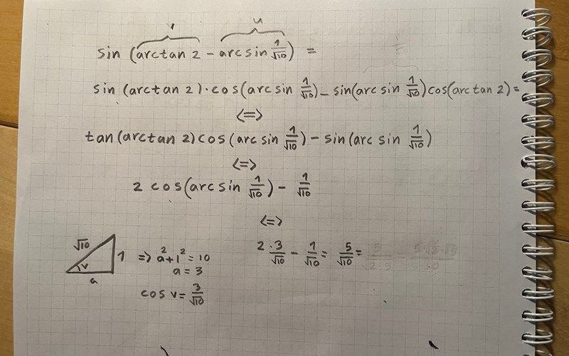
Jag har inte lyckats komma särskilt långt. Jag har insett att arctan 2 är ekvivalent med tan v = 2, och att arcsin 1/sqrt(10) är ekvivalent sin v = 1/sqrt(10).
Men jag lyckas inte komma på hur man kan gå vidare. Tips vore jättesnällt!
Prova att utveckla uttrycket med hjälp av subtraktionsformeln för sinus. Då får du uttryck som är lite lättare att arbeta med. :)
Jag ska pröva det, tack så mycket för tipset.
Hej! Jag prövade att utveckla uttrycket med hjälp av subtraktionsformeln för sinus. Jag tyckte att det gick bra, och fick som svar 5/sqrt(10). Men facit säger att det ska bli 1/sqrt(2).
Tror du du skulle kunna se om jag har tänkt fel någonstans? 
Hmmm, jag förstår inte riktigt vad som händer mellan rad två och tre. Hur blir till ? Och vad händer med faktorn i den högra termen? :)
Där tänkte jag att jag kunde dela alla termer med cos(arctan(2)). Då tänkte jag att sin (arctan 2) / cos (arctan 2) = tan (arctan 2) (eftersom arctan 2 är en vinkel tänkte jag att man borde kunna använda sambandet sin v/cos v = tan v?
Jaha, ja det fungerar, dock behöver du ta hänsyn till det när du har förenklat färdigt. Eftersom att detta är ett uttryck och inte en ekvation, kan du inte dela alla termer utan att kompensera för det.
För att vara mer tydlig, du får dividera om du multiplicerar med samma faktor. Dvs. du får gå från till , men inte från till .
Om du provar att multiplicera ditt resultat med värdet av kommer du se att du får rätt svar.
Med det sagt, det verkar lite krångligt. Du har två vinklar, v och u, är det inte lättare att rita upp dem som trianglar (som du gjort nere till vänster i din bild) och läsa av de värden du behöver ifrån dem? :)
Åh, jag förstår. Det tänkte jag inte på. Jag tänkte inte heller på att man kunde rita upp trianglar och lösa uppgiften på det sättet.
Tusen tack för hjälpen.
Det var så lite så! Väl kämpat! 😊