Ersättningsresistans
Hej, behöver hjälp med 8.56. Jag tänker att elektronerna vill slippa motstånden så mycket som möjligt och att de därmed stöter på resistansen 30 Ohm, men svaret är 10 Ohm. Hur ska man tänka?
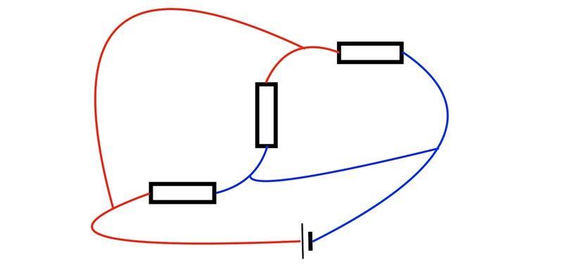
Den är lite lurigt ritad.
Men om du färglägger och ritar allt som har samma potential som A i rött och allt som har samma potential som B i blått, då blir det enkelt. Och då kan du rita om kretsen i mer konventionell form.
soltima skrev:Hej, behöver hjälp med 8.56. Jag tänker att elektronerna vill slippa motstånden så mycket som möjligt och att de därmed stöter på resistansen 30 Ohm, men svaret är 10 Ohm. Hur ska man tänka?
Om vi kallar de fyra punkterna mellan A och B så ser vi att det är en kortslutning mellan a och c, och en kortslutning mellan b och d. Detta är alltså ett väldigt elakt sätt att rita tre stycken resistorer som är parallellkopplade...
Jag testade att rita och jag förstår, eller läste vad Smaragdalena skrev, att de ska vara parallellkopplade. Jag vet då hur jag räknar ut ersättningsresistansen, men förstår inte hur jag faktiskt ska kunna se att det är en parallellkoppling…
Rita om kopplingsschemat så att det ser ut som parallellkopplingar brukar ritas. Du kommer då att se att varje resistor sitter på en egen gren mellan A och C.
Om du det är svårt att se, prova att (som om ledarna är mjuka som gummiband) ta tag i de två knutpunkterna (den mellan resistor 1 och 2 samt den mellan resistor 2 och 3) och dra den första nedåt och den andra uppåt. Grenen med den mittersta resistorn "vecklar" då ut sig och blir mittengrenen. Alla 3 hamnar under varandra.
soltima skrev:men förstår inte hur jag faktiskt ska kunna se att det är en parallellkoppling…
Använd Pieters tips:
Börja vid A och förglägg rött fram till resistanserna. Allt rött har samma potential.
Samma sak från B, blå färg.
Blir det tydligare då?
soltima skrev:
Jag testade att rita och jag förstår, eller läste vad Smaragdalena skrev, att de ska vara parallellkopplade. Jag vet då hur jag räknar ut ersättningsresistansen, men förstår inte hur jag faktiskt ska kunna se att det är en parallellkoppling…
Du ser i din ritning att det är samma spänning över alla tre motstånd. Det betyder att de är parallellkopplade. Sedan spelar det ingen roll hur sladdarna ligger.
Okej, jag tror jag fattar lite mer nu, men vad ska jag ha för färg i mitten? Intill resistorn i mitten är ledarna bara "blyertsfärgade", medan jag har rött till vänster och lila till höger (de färger jag lyckades hitta).
soltima skrev:Okej, jag tror jag fattar lite mer nu, men vad ska jag ha för färg i mitten? Intill resistorn i mitten är ledarna bara "blyertsfärgade", medan jag har rött till vänster och lila till höger (de färger jag lyckades hitta).
Vaddå? Du har ju ritat.
(bild från en annan uppgift men i princip samma sak)
Det är bara att börja dra i sladdarna och "morfa" kretsen till en mer överskådlig form med 9 volt på vänstra sidan och allt med noll volt på högra sidan.
Det var inget, jag förstår ritningen och spänningen nu! Det som jag fortfarande inte är med på är hur man ser att det är en parallellkoppling... Jag ser ändå bara kortslutningar...?
soltima skrev:Jag ser ändå bara kortslutningar...?
Var då precis i så fall?
Det är kanske inte kortslutningar, men så som jag ser och förstår det är två av resistorerna kortslutna när en sladd bara går över dem. Jag får inte ihop det i mitt huvud hur kopplingen är en parallellkoppling, även om jag förstår att det är just det som det ska vara.
soltima skrev:Jag får inte ihop det i mitt huvud...
Använd papper och penna.
Tack för all förklaring och jag ser att du bokstavligen har ritat svaret framför mig. Jag förstår fortfarande inte helt, men det lossnar kanske efter någon mer uppgift eller en annan dag. Men tack så mycket för all hjälp! :)
Det ÄR en klurig uppgift, där man verkligen har försökt att luras!
