1
svar
53
visningar
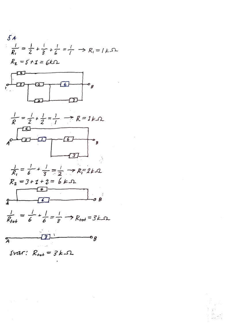
Ersättningsresistans i krets.
Här är en uppgift som jag har lite svårt med.
Detta är mitt försök till lösning, stämmer den?:
JesperR, det är inte tillåtet att ha fler trådar om samma uppgift. Eftersom du är ny rekommenderar jag starkt att du trycker in på fliken "regler" och läser om vad som gäller så du slipper få tillsägelser. /Moderator