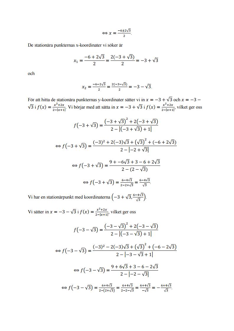
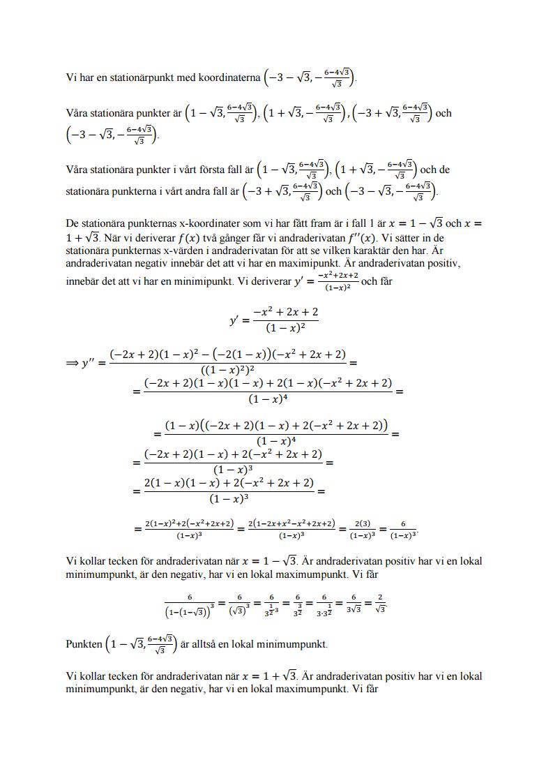
Bestäm lokala och globala extrempunkter och asymptoter till kurvan y=(x^2+2x)/(2-|x+1| ).













Såhär långt har jag kommit. Jag vet inte hur jag nu ska göra ett teckenschema för att sedan rita grafen för hand.
Helo skrev:
Såhär långt har jag kommit. Jag vet inte hur jag nu ska göra ett teckenschema för att sedan rita grafen för hand.
Det verkar som att det har smugit sig in dubletter här. Visst är bild 7-12 identiska med bild 1-6?
Även utan dessa dubletter så är din redovisning onödigt utförlig.
Det är jättebra att du gör detaljerade beräkningar steg för steg vid sidan av, men på universitetsnivå behöver du inte redovisa alla detaljsteg i själva lösningen.
Det viktiga är att du kan visa att du har förstått, att det är lätt att följa dina tankebanor och att du kommer fram till rätt resultat på ett effektivt sätt. Se även kommentarer i din andra tråd.
Försök att banta ner din redovisning rejält. Fråga gärna oss om du behöver tips kring det.
Vad gäller att skissa grafen så bör du börja med att bestämma stationära punkter och asymptoter och sedan ugå från dessa.
Ja, Jag råkade skicka dubbletter. Det ska bara vara 6 bilder.
Jag vet, jag skriver alldeles för mkt på mina uppgifter. Ska förkorta... Jag har fått fram stationära punkter, samt asymptoter. Har även ritat en graf. Jag kan bifoga den här. Orkar du kolla ifall grafen är rätt?
Helo skrev:Har även ritat en graf. Jag kan bifoga den här. Orkar du kolla ifall grafen är rätt?
Snyggt!
Ett bra tips är att använda ngt digitalt ritverktyg som t.ex. Desmos eller Geogebra för att se om dina grafer verkar stämma.