1 svar
88 visningar
mon_12 113 – Fd. Medlem
Postad: 11 apr 2020 20:37

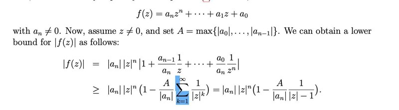
ett annat sätt at uttrycka

Kan jag uttrycka det som jag har markerat på ett annat sätt?  

Smaragdalena 78892 – Avstängd
Postad: 11 apr 2020 20:56

Varför skulle du vilja uttrycka summan på ett annat sätt än med summatecken? Dessutom, du behöver ha med vad det är du skall summera också, annars blir det lika dumt som att dra roten ur ingenting.

Svara
Close