1
svar
97
visningar
soobin behöver inte mer hjälp
Euler


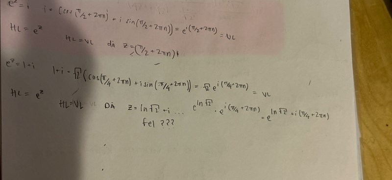
4342 b…
jag löste den så och förstod allt fram till att det i facit stod att z = ln 2 / 2 o.s.v….
förstår inte riktigt varför, tacksam för hjälp!!
soobin skrev:
4342 b…
jag löste den så och förstod allt fram till att det i facit stod att z = ln 2 / 2 o.s.v….
förstår inte riktigt varför, tacksam för hjälp!!
Kan du lägga in en bild av facit också?
