4
svar
72
visningar
dajamanté behöver inte mer hjälp
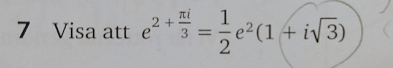
Eulersformeln: har fastnat mitt i beräkningen!

Enkelt tänkte jag. Det kan skrivas om som:
... och är gånska långt ifrån !
Glöm inte bort de enklare delarna av matematiken! Du har några gemensamma faktorer i det uttryck du fått fram. Om du bryter ut dem borde du bli färdig
Hej Anders!
Har e^2 och 0,5 något gemensamt?
Nej, inte mer än att du kan bryta ut dem från summan.
Ah men.... såklart...