1
svar
58
visningar
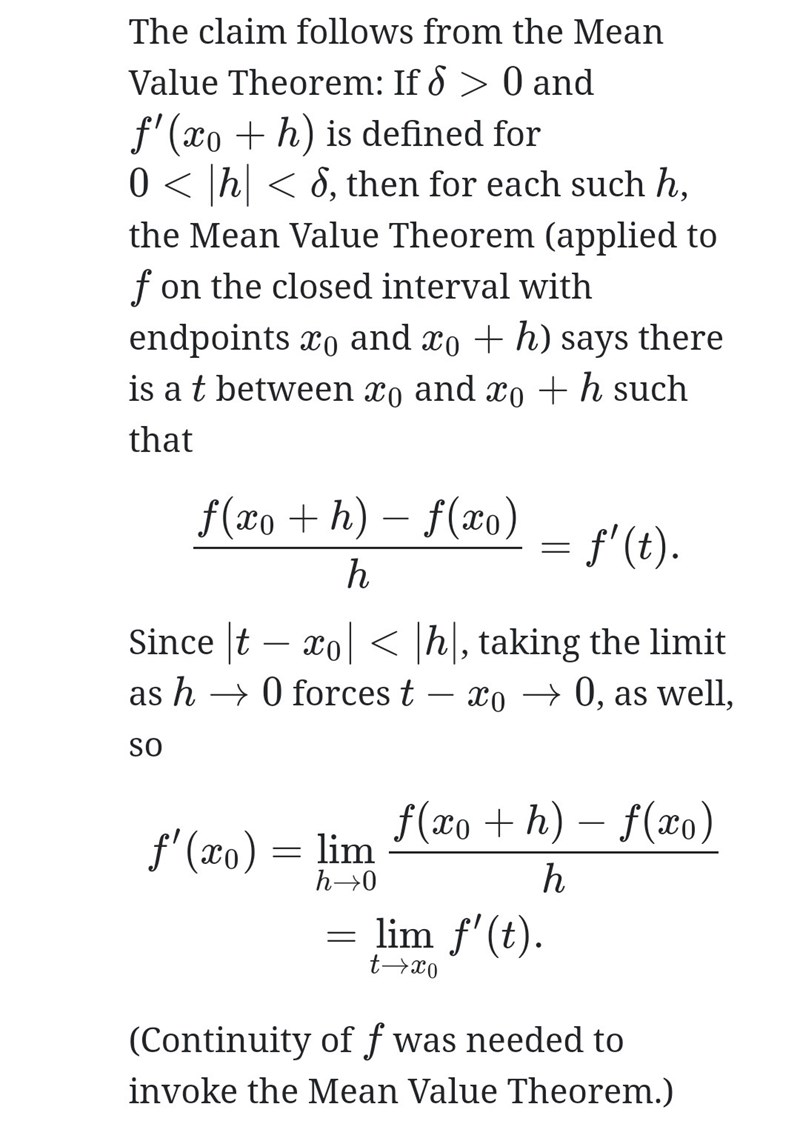
Vart används det inringade kravet i beviset? Jag vet att det inte är sant om man plockar bort det, men kan inte hitta var det skulle gå fel.


