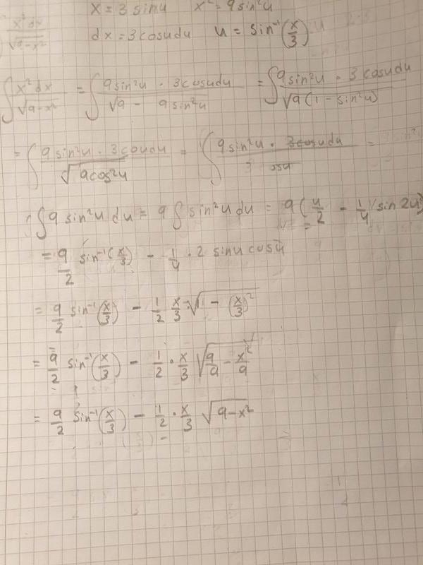
Evaluera integral
Jag ska evaluera integralen
såhär gör jag det:
men det blir fel, vad har jag gjort fel?
Hittar spontant inget fel (men har inte tittat noga), men vad händer om du använder
på slutet? cos(u) kan snyggas till.
Jag tror det blir lite trevligare om man instället låter , men har inte provat det själv.
Dr. G skrev:Hittar spontant inget fel (men har inte tittat noga), men vad händer om du använder
på slutet? cos(u) kan snyggas till.
Svaret ska bli
så det blir nog inte rätt
Dracaena skrev:Jag tror det blir lite trevligare om man instället låter , men har inte provat det själv.
I boken står det sec ska användas när det är
Jag får det här nu:

Jag vet inte vad jag gör fel i slutet
Du har tappat bort en faktor 9 på hela termen (4 = från slutet).
På slutet så kan du flytta ut en faktor 1/3 utanför roten.
Tack, löste den!