Exakt svar på roten ur negativ rot utan komplexa tal?!

Jag kom inte längre än till roten ur ((1/4)-1) I kursen ingår inte komplexa tal så vitt jag vet. Hur fick de fram 2sqrt(3)/2 ?
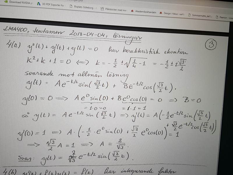
Varför innebär det sin och cos i nästa steg? Varför är de inte uppe i exponenten. En allmän lösning ska ju se ut som Ae^(rx)+Be^hx om lösningarna är r och h till andragradsekvationen.
hmm de kanske har använt eulers formel på något sätt och att komplexa tal ingår ändå i viss utsträckning.
Visst, låt den allmänna lösningen vara , med och , använd nu Eulers formel och se vad du får!
Vad gäller din andra fråga:
En kurs i ODE brukar definitivt ta upp imaginära rötter till den karaktäristiska ekvationen (om det nu är en sån kurs du går).
Ja, Eulers formel används. Hänger du med på hur de löser ekvationen ?
Känner du till att ifall lösningarna till den karaktäristiska ekvationen är komplexa med ges lösningarna av:
?
ok jag går en kurs i matematisk analys av en variabel.
Att lösa andragradsekvationer, även med komplexa rötter, ingår i Ma2, så det är en kunskap du förväntas besitta, om du läser matte på universitetsnivå.
Jag måste repetera hur man hittar icke-reella lösningar och skriver dem i formen k=i
var ett år sen jag hörde om det sist.
Här är en sida om komplexa tal som svar på andragradsekvationer. Här är mera om komplexa tal.
Jag klarade tentan
mvh
Johannes
Elias93 skrev:Jag klarade tentan
mvh
Johannes
Grattis!