1
svar
85
visningar
Exciterad elektron - Rörelseenergi


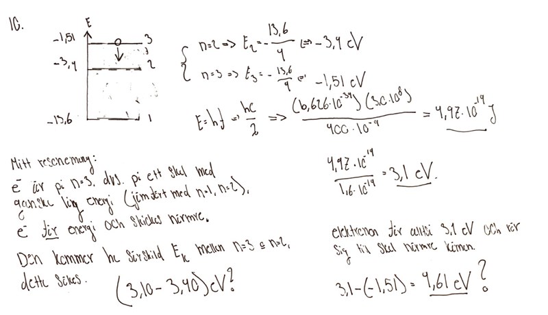
Nej. Det är skal nummer 1 som har lägst energi (-13,6 < 3,4 < -1,51).