offan123 behöver inte mer hjälp
offan123 3072
Postad: 30 dec 2022 19:12

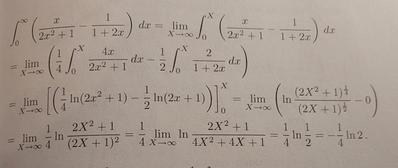
Exempeluppgift med x

detta är en exempeluppgift i en min bok, men min fråga varför de valde att dela upp integralen med x?

Micimacko 4136
Postad: 30 dec 2022 19:33

Vad menar du med dela upp? Att de gjorde 2 integraler i början?

Fermatrix 7621 – Fd. Medlem
Postad: 30 dec 2022 20:05 Redigerad: 30 dec 2022 20:05

Jag skrev ett inlägg om detta innan: https://www.pluggakuten.se/trad/ln-x-x-6/?order=all#post-90b8638a-3d57-488d-ac36-af7b00de1369

Micimacko nämnde också något om generaliserade integraler i din förra tråd som du kan läsa. 

Svara
Close