Expansionsmetoden
Hej! Detta är egentligen inom programmering men det är ju även matematik så antar att det är lugnt att skriva det här.
Jag vill lösa denna uppgift mha expansionsmetoden:

Om jag har förstått det rätt så ska jag räkna ut de första värdena av R, dvs R(0), R(1), R(2) och sedan R(3).
Sedan ska jag med hjälp av induktion dra basfall, induktionssteg och bevis.
Min uträkning börjar på detta vis:
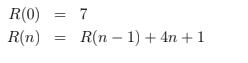
R(0) = 7
R(1) = 7 (1 - 1) + 4 * 1 + 1 = 12
Sedan har jag gjort på samma vis R(2) 7 (2 -1) + 4 * 2 + 1 = 16 men enligt facit är detta fel?
Vet inte hur jag ska ta mig vidare så är extremt tacksam om någon kan hjälpa.
Du tänker fel avseende R(n-1).
Om n = 1 så är R(n-1) = R(1-1) = R(0)
Om n = 2 så är R(n-1) = R(2-1) = R(1)
Och så vidare
======
Du får alltså
R(0) = 7
R(1) = R(0) + 4•1 + 1 = 7 + 4 + 1 = 12
R(2) = R(1) + 4•2 + 1 = 12 + 8 + 1 = 21
Och så vidare
Yngve skrev:Du tänker fel avseende R(n-1).
Om n = 1 så är R(n-1) = R(1-1) = R(0)
Om n = 2 så är R(n-1) = R(2-1) = R(1)
Och så vidare
======
Du får alltså
R(0) = 7
R(1) = R(0) + 4•1 + 1 = 7 + 4 + 1 = 12
R(2) = R(1) + 4•2 + 1 = 12 + 8 + 1 = 21
Och så vidare
Tack för svar. Nu har jag kommit fram till R3 samma vis som du föreslog.
R(1) = R(0) + 4•1 + 1 = 7 + 4 + 1 = 12
R(2) = R(1) + 4•2 + 1 = 12 + 8 + 1 = 21
R(3) = R(2) + 4•3 + 1 = 21 + 12 + = 34
I facit har dem kommit fram till att R(n) = 7+4n (n-1)/2 + n = 2n^2 - n + 7.
Skulle jag kunna få en förklaring på hur dem kommit fram till detta?
Tack
Kpalle skrev:Tack för svar. Nu har jag kommit fram till R3 samma vis som du föreslog.
R(1) = R(0) + 4•1 + 1 = 7 + 4 + 1 = 12
R(2) = R(1) + 4•2 + 1 = 12 + 8 + 1 = 21
R(3) = R(2) + 4•3 + 1 = 21 + 12 + = 34
Det stämmer
I facit har dem kommit fram till att R(n) = 7+4n (n-1)/2 + n = 2n^2 - n + 7.
Det stämmer inte.
Kan du ladda upp en bild på både uppgiften och facit?