1
svar
78
visningar
Exponenten noll och negativa exponenter - Matematik 1C
hur löser jag detta?
Jaggillarattplugga skrev:
hur löser jag detta?
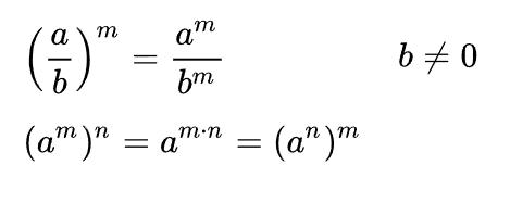
Utnyttja de här räknereglerna för potenser

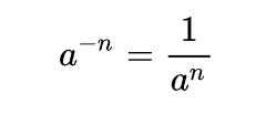
och den här

hur löser jag detta?