Exponenter & baser
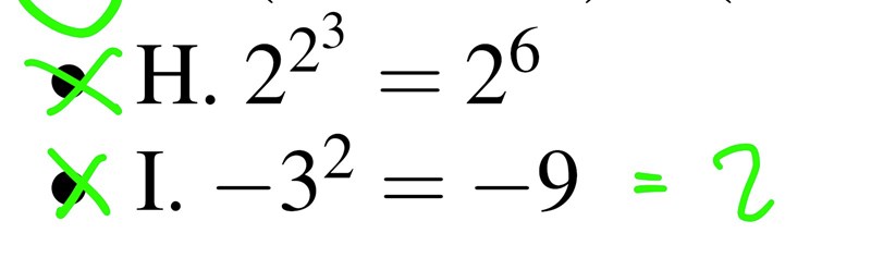
Hej! Jag förstår inte hur man ska tänka på H. Det handlar om att man ska avgöra om likheten gäller. Jag tänkte att det borde gälla då (x^(a))^b kan skrivas som x^(a•b) vilket i detta fall hade gett. 2^(2•3)= 2^(6)

Man har bestämt att betyder .
Jaha! Så när det ärr ”dubbel” exponenter höjer man upp exponenterna innan man tar hänsyn till basen dvs i detta fall 2^3= 8 (exponenter)
sedan med basen vilket blir 2^8?
Ja.
tack så himla mycket för svar! en annan fråga gällabde I. jag tänkte först att det skulle stämma inte skulle stämma eftersom -3•-3=9 men det är väl att isåanfall hade det stått (-3)^2 eftersom ( ) ej finns räknar man istället 3^2 enligt följden att exponenter räknas före -. Vilket då blir -9.
samt att för 3 exponter hade det blivit
Du kanske menar rätt, men 28 är 256.