Exponenter och division med variabler - Talförståelse åk 9
Hej! jag lyckas inte få rätt svar på det här talet. Svaret ska vara 14 enligt fasit. Frågan lyder:
lös, och addera sedan exponenterna för a, b och c.

jag har gjort som följande:
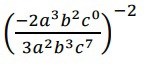
((-2a^3 * b^2 *c^0) / 3a^2*b^3*c^7)^-2
= ((-2a*b^-1*c^-7)/3)^-2
= (2^-2* a^-2 * b^-3 * c^-9)/3
Gissade på att allt skulle höjas upp i två på sista raden med denna logik:
(a+b+c)^2 = (a+b+c) * (a+b+c) = men vet inte om det skulle bli : a^2+b^2+c^2 eller om jag behöver ta allt gånger allt tex aa, ab, ac, ba, bb, bc, ca, cb, cc. Skulle någon kunna förklara vilken regel som gäller med flera tal i en parentesen och en exponent utanför?
Kommer dock inte vidare efter det då jag inte vet hur jag ska dela allt på tre. Är även osäker på hur jag ska göra med -2 utanför parentesen och tror att jag gjort något misstag innan dess då jag inte lär få svaret 14 även om jag delar det och sedan adderar exponenterna.
Om det är någon regel jag gått emot i min lösning som leder till fel svar peka gärna ut det i er lösning!
Tack för hjälpen!
Jumsan_j skrev:
jag har gjort som följande:
((-2a^3 * b^2 *c^0) / 3a^2*b^3*c^7)^-2
= ((-2a*b^-1*c^-7)/3)^-2
^ Det är rätt fram hit ^
= (2^-2* a^-2 * b^-3 * c^-9)/3
^ Men här blev det fel ^
Du kan använda potenslagen .
Börja med det som står innanför parentesen så får du , vilket kan skrivas som , vilket kan skrivas som
Använd sedan samma potenslag igen på de två faktorerna.
Okej! Tack så jättemycket, nu förstår jag vad jag gjorde fel!
När jag använder potenslagen så kommer jag fram till (1/(-4/9)) * (1/(a^2)/(b^2*c^14))
Jag vänder sedan på divisionen etc och får då - 9/4 * ((b^2*c^14)/a^2) vilket blir (-9b^2*c^14)/4a^2 men undrar om fyran också ska vara negativ eftersom -2 över 3 är det, och att det kanske gör hela bråket negativt? Isåfall varför eller varför inte? Känner mig lite osäker angående den regeln.
oavsett kommer jag iallafall fram till svaret 14 genom denna metod, men är inte säker på att det stämmer:
(-9b^2*c^14)/4a^2 = -9b^(2-2)*c^14/4 = - 9c^14/4
Min fråga är nu om jag är klar eftersom jag fått svart 14, eller om jag ska dela -9c^14 på 4 för att den ska räknas som löst? Om jag ska dela, antar jag att jag bara delar -9 på 4? Men isåfall, varför delar jag inte c:et, har för mig att regeln är att man måste dela allt på toppen av ett bråk om man inte löser det innan pga den "osynliga parenteserna"?
Förlåt för många frågor på en gång!
Uppskattar verkligen hjälpen ♡
Jumsan_j skrev:Jag vänder sedan på divisionen etc och får då - 9/4 * ((b^2*c^14)/a^2)
Nästan rätt.
Det gäller att
Ahh det var det jag missade!
Tack så jättemycket för hjälpen!