2 svar
108 visningar
ennie behöver inte mer hjälp
ennie 7 – Fd. Medlem
Postad: 22 aug 2019 23:23 Redigerad: 23 aug 2019 00:13

Exponentialekvation

hitta alla reella lösningar

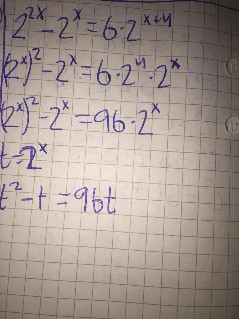
2^2x-2^x=6*2^(x+4)

Jag försöker lösa

(2^x)^2-2^x=6*2^4*2^x

substitiution t=2^x

t^2-t=6*16*t

t^2-97t=0

Behöver inte fortsätta för det har blivit fel. ?

 

Lagt till en bild. Visst är något fel?

SvanteR 2783
Postad: 23 aug 2019 00:26

Helt rätt hittills, du är bara inte färdig! Lös ekvationen för t och beräkna sedan x.

Albiki 5096 – Fd. Medlem
Postad: 23 aug 2019 00:30 Redigerad: 23 aug 2019 00:31

Notera att 2x2^x alltid är ett positivt tal oavsett om xx är positivt eller negativt tal (eller noll), så det du döpt till tt är ett positivt tal.

Ekvationen t2-97t=0t^2-97t = 0 är samma sak som t·(t-97)=0t\cdot(t-97)=0 och det enda positiva tal som uppfyller denna ekvation är t=97t=97; det motsvarar x-värdet ... 

Svara
Close