2
svar
167
visningar
questionable1 behöver inte mer hjälp
Exponentialfördelning
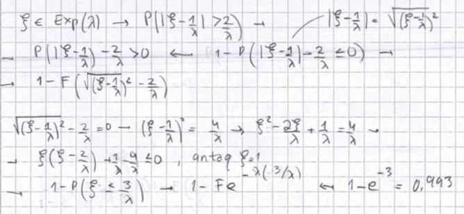
Jag försöker att lösa den här uppgiften utan framgång och behöver hjälp.
. Ni ser min lösning nedan och jag vet att den är helt fel. Någon som kan hjälpa mig?

En exponentialfördelning har sannolikhetsfördelningen
Den sökta sannolikheten kan uttryckas med denna funktion, där \mu betecknar fördelningens väntevärde.
.
För en exponentialfördelningen är .