Exponentialfunktion
Har jag gjort rätt?
(Har inget facit)


Hej
a) Om du beräknar y(15) är det lika med 31 gram då?
jonis10 skrev:Hej
a) Om du beräknar y(15) är det lika med 31 gram då?
Jag tänkte att om jag räknar 15/31 så får jag veta hur stor minskningen är per minut baserat på 15 min, då det har minskat med 31.
Hur ska jag tänka?
Nja det inte blir inte rätt då.
En exponentialfunktion kan skrivas på följande sätt: där är tiden i minuter. Vi vet att , vi har två obekanta och två ekvationer därav kan vi ställa upp ett ekvationssystem.
, vad blir då och ?
jonis10 skrev:Nja det inte blir inte rätt då.
En exponentialfunktion kan skrivas på följande sätt: där är tiden i minuter. Vi vet att , vi har två obekanta och två ekvationer därav kan vi ställa upp ett ekvationssystem.
, vad blir då och ?
Okej, jag utgick från det här. Men vad menas med C? Jag trodde C var 85 och i mitt fall 75
Det stämmer. så första ekvationen förenklas till C = 75.
Då vet du alltså att . Om du sätter in att x = 15 och att y(15) = 31 kan du beräkna värdet för a.
Smaragdalena skrev:Det stämmer. så första ekvationen förenklas till C = 75.
Då vet du alltså att . Om du sätter in att x = 15 och att y(15) = 31 kan du beräkna värdet för a.
Visst är det så här man räknar ut a? Om jag har rätt, hur går jag vidare?

är rätt, men sedan har du räknat fel - eftersom är mindre än 1 måste även a vara mindre än 1 (detta kan du även se av att saltmängden minskar). Har du glömt några parenteser?
Smaragdalena skrev:är rätt, men sedan har du räknat fel - eftersom är mindre än 1 måste även a vara mindre än 1 (detta kan du även se av att saltmängden minskar). Har du glömt några parenteser?
Har du utgått från första bilden jag lade ut? Jag ändrade direkt efter men du kanske han se den.
Eftersom att min räknare inte kan räkna ^1/15 så fick jag dela upp talet, alltså räkna 1/15 för sig själv och det var där jag hade råkat trycka in fel på miniräknaren.
Men är det rätt som det står i inlägget nu?
När jag svarade på inlägget stod det att a = 5,2 om jag minns rätt. 0,94 är värdet jag fick också
Du har troligen parenteser på din räknare som du kan använda för att få det rätt.
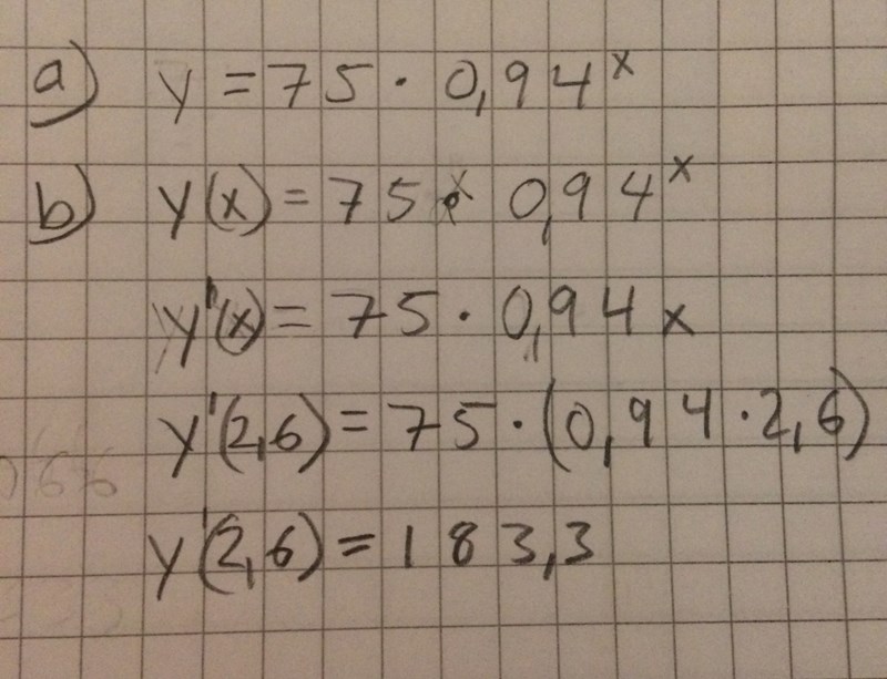
Har jag löst hela talet rätt nu? Båda a och b?

Jag förstår inte vad det är du har gjort på b-uppgiften.
Det du borde ha gjort är att derivera funktionen y(x), sätta derivatan y'(x) = 2,6 och lösa ut x.
Om det är detta du har gjort, så har du i alla fall använt så felaktiga beteckningar att det inte går att förstå att det är det du har gjort.
Innan du går vidare till b) är det viktigt att du lämnar ett konkret svar till a) vilket blir då: .
Därefter följ Smaragalenas förklaring ovan.
Smaragdalena skrev:Jag förstår inte vad det är du har gjort på b-uppgiften.
Det du borde ha gjort är att derivera funktionen y(x), sätta derivatan y'(x) = 2,6 och lösa ut x.
Om det är detta du har gjort, så har du i alla fall använt så felaktiga beteckningar att det inte går att förstå att det är det du har gjort.
Jag tänkte att när jag hade löst ut a så kunde jag använda den här metoden(bilden). Men jag ska göra som du säger och lösa ut x på det sättet
Nej, du skriver att 2,6(x) är lika med något. På nästa rad löser du rätt ekvation (utan att motivera varför).
Gissningsvis har uppgiften i boken tagit fram derivatan som b-uppgift, och då kan man gå rakt på så som man har gjort.
Smaragdalena skrev:Nej, du skriver att 2,6(x) är lika med något. På nästa rad löser du rätt ekvation (utan att motivera varför).
Gissningsvis har uppgiften i boken tagit fram derivatan som b-uppgift, och då kan man gå rakt på så som man har gjort.
Jaha okej.
min ”tankegång”: först använde jag mig av eran hjälp, sen löste jag ut a=0,94. Och efter det använde jag en metod från boken för att lösa ut x från 0,94^x
Om jag hade skrivit 2,6=75*0,94^x ,hade det varit något skillnad? Är det 2,6(x)=... som jag gjorde fel?
Här är i alla fall hela talet från boken.

mattelinnea skrev:Jag fortsatte talet efter att jag hade räknat ut a=0,94 eftersom att ni sa att jag hade rätt så långt.
Är det så här man deriverar ^x ? Eller gör man bara så här när man har ett positivt heltal som inte är en variabel? För man ska ju bara räkna -1 och x är mest troligt inte 1
Jag förstår inte hur jag ska göra för det här är ju helt klart fel.
Har jag gjort rätt nu? (Jag skippade att ta med dä
r jag fick fram a=0,94)
Nej, du skall inte ta reda på värdet för derivatan när x = 2,6. Du skall lösa ekvationen y'= -2,6.
Smaragdalena skrev:Nej, du skall inte ta reda på värdet för derivatan när x = 2,6. Du skall lösa ekvationen y'= -2,6.
Snälla hjälp och skriv lösningen. Provet är om 9 timmar och jag vill vara väl förberedd och jag har suttit med det här talet hela dagen och jag förstår inte. Jag hittar ingenstans i boken där det beskriver den uträkningen som du talar om
Du löser den här ekvationen på precis samma sätt som man löste ekvationen i c-uppgiften. Det är inte där felet sitter - problemet är att du löser fel ekvation. Ekvationen du skall lösa är , d v s .
(Eftersom 0,96 är mindre än 1 blir ln(0,96) ett negativt tal, så både VL och HL är negativa.)
Smaragdalena skrev:Du löser den här ekvationen på precis samma sätt som man löste ekvationen i c-uppgiften. Det är inte där felet sitter - problemet är att du löser fel ekvation. Ekvationen du skall lösa är , d v s .
(Eftersom 0,96 är mindre än 1 blir ln(0,96) ett negativt tal, så både VL och HL är negativa.)
Vart har du fått 0,96 ifrån?
Är något av leden korrekt i min förra uträkning?
Och hur ska jag ställa upp det, alltså i vilken ordning?
Nej, det skall vara 0,94 på alla ställena, jag skriv fel - det är visst för sent för att jag skall få fram vad jag menar på ett korrekt sätt. Sov gott nu i natt, och så kommer jag att hålla tummarna för dig och alla andra som skall skriva Ma2 i morgon!
Smaragdalena skrev:Nej, det skall vara 0,94 på alla ställena, jag skriv fel - det är visst för sent för att jag skall få fram vad jag menar på ett korrekt sätt. Sov gott nu i natt, och så kommer jag att hålla tummarna för dig och alla andra som skall skriva Ma2 i morgon!
Snälla skriv hela uträkningen först. Snälla!!
Om jag inte har fattat det här talet nu så kommer jag inte lära mig det inatt när jag inte kan få hjälp av någon. Jag kommer att misslyckas totalt med provet
Jag kommer att få högsta betyg som slutbetyg om provet går bra.. Snälla hjälp!! Jag vill inte få sänkt betyg bara för att jag var sjukskriven pga en livsnödvändig operation
Har jag rätt på någon?


