5
svar
213
visningar
HuldaHulda behöver inte mer hjälp
Exponentialfunktion ökning eller minskning?
Hej!
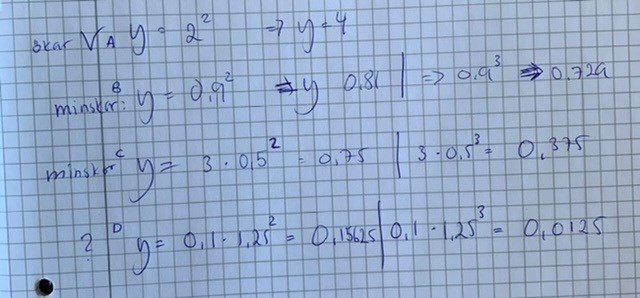
När man tittar på dessa funktioner så tänker jag spontant att a och d ökar. Men när jag sedan multiplicerar d med startvärdet C (y= Cxa^*) som är 0,1 så minskar det ju?
är det bara a^* som jag skall titta på för att se om funktionen är växande ?


det värdet du fått på stämmer inte, testa att slå det igen. a) och d) är växande.
Konstanterna som man multiplicerar med har ingen betydelse, för de är ju alltid där. Du jämför inte med .
Tack ska ni ha! Ok så man kollar bara på a^x kan man säga då!? Då behöver man aldrig bry sig om konstanten C
Visa spoiler
Skriv ditt dolda innehåll här
I just en sån här fråga, ja.
Vad kan du dra för slutsats angående när är strikt växande/avtagande?