6
svar
120
visningar
saintana10 behöver inte mer hjälp
Exponentialfunktionens derivata
Hej,
Har en uppgift som lyder:
Bestäm den punkt på funktionen 𝑔(𝑥) där 𝑔′(𝑥)=3.
𝑔(𝑥)=𝑒4𝑥
Har precit börjat lära mig deriviering så är inte helt 100 än.
Ska jag sätta in 3 istället för e i funktionen?
Så att g(x) = 34x
Eller tänker jag fel?
är ett tal. är en konstant.
Du har en funktionen .
Vet du hur man deriverar den?
g ' (x) = 4e4x
Bra. Då får du en ekvation med g'(x)=3. Vilken då?
Visa spoiler
Okej, hur går jag vidare efter ekvationen för att bestämma punkten?
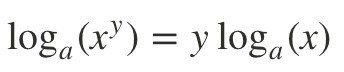
Du behöver använda logaritmer, har ni gått igenom det?
Först får du:
Sen använder du regeln
Visa spoiler
Behöver nog gå igenom logaritmer ett varv till innan jag förstår, tack för hjälpen!