Extraktion av en variabel
Kan någon förklara hur man har isolerat v i beräkning nedan?

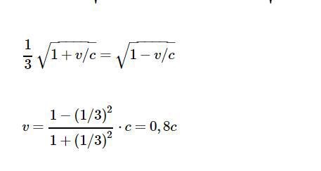
Jag har gjort:
Jag grubblar och grubblar men förstår ff inte algebran...
Du har ju gjort helt rätt! Förkorta bort niorna och räkna ut 8/10 i decimalform så har du rätt svar.
Jag antar att de gjort enligt följande:
Pfffff.... nu har jag äntligen förstått...
Men det är fruktansvärt många steg!
Varför en människa med frisk sinne skulle vilja ''förenkla'' såhär med så många onödiga steg?? Eller har jag krånglat till saken?
Det finns en sorts symmetri i det där uttrycket i mitten, som en del människor som är mer matematiker än jag är tycker är vackert. Jag skulle nöja mig med att v = 0,8c.
Har man lite räknevana gör man förenklingen blixtsnabbt i huvudet.
Jo det är lite vackert, men lite onödig. 1800-talet duel vackert.
Men du menar att algebraisk det alltid funkar att transformera detta:
a*(x+b)=a*(x-b)
i detta?
b=(x-a)/(x+a)
Daja skrev :Men du menar att algebraisk det alltid funkar att transformera detta:
a*(x+b)=a*(x-b)
i detta?
b=(x-a)/(x+a)
Nej så blir det inte.
a*(x + b) = a*(x - b)
Multiplicera in a i parenteserna:
ax + ab = ax - ab
Addera ab och subtrahera ax på båda sidorna:
2ab = 0.
Lösning a = 0, b = 0 eller a = b = 0.
Hur kan man då systematisera den symmetriska förhållande i
som blir:
Du utgår från
Kvadrera bägge led så får du
Om du nu kallar och så kan sambandet skrivas
Multiplicera in a i parentesen:
Addera b och subtrahera a:
Bryt ut b och dividera med (1 + a):
Byt nu tillbaka och så får du den systematisering du var ute efter.
Yngve skrev :Den systematisering (eller symmetri) du letar efter är alltså
Multiplicera in a i parentesen:
Addera b och subtrahera a:
Bryt ut b och dividera med (1 + a):
Där och
Alleluja.
Finns det ett namn för den här symmetri?
Daja skrev :Yngve skrev :Den systematisering (eller symmetri) du letar efter är alltså
Multiplicera in a i parentesen:
Addera b och subtrahera a:
Bryt ut b och dividera med (1 + a):
Där och
Alleluja.
Finns det ett namn för den här symmetri?
Kalla den för "Dajaregeln". Jag föredrar att manipulera algebraiskt istället för att lära mig en sällan använd regel utantill.
Jo det är klart att man måste inte lära sig utantill för the sake of it (vad är det nu på svenska?) :). Men det skadar inte att komma ihåg det.
Nej jag döpper det till Yngve-symmetri.
för the sake of it (vad är det nu på svenska?)
"För sakens skull" eller "fös själva sakens skull" skulle jag säga.
Daja skrev :
Nej jag döpper det till Yngve-symmetri.
Eller kanske "Smaragdalenasymmetrin" efter den som först nämnde det :-)
Jag tänkte det eftersom hon sa det först!! Men jag precis läste i kemiboken att vad räknas i den vetenskapsvärlden är vem först publicerar resultaten o bevis (därför fick inte Scheele credit för hans syre upptäckt :/)

Men isf döpper jag om det till Smaragdalena-symmetrin :)