Extre eller terasspunkt
Jag vet inte hur jag ska lösa uppgiften,
Men jag vet att måste göra om y till y' 

Vet du vad extrempunkter och terasspunkter är?
Janne491 skrev:Vet du vad extrempunkter och terasspunkter är?
0 ställen och +0+ eller -0-
Ok, extrempunkter är ju max- och minvärden för funktionen. I max och minpunkter är derivatan noll. I en terasspunkt är derivatan också noll, men det är varken max eller minimum.
Dvs maxpunkt är derivatan +0- och i minpunkt -0+ och i terasspunkt +0+ eller -0-
Janne491 skrev:Ok, extrempunkter är ju max- och minvärden för funktionen. I max och minpunkter är derivatan noll. I en terasspunkt är derivatan också noll, men det är varken max eller minimum
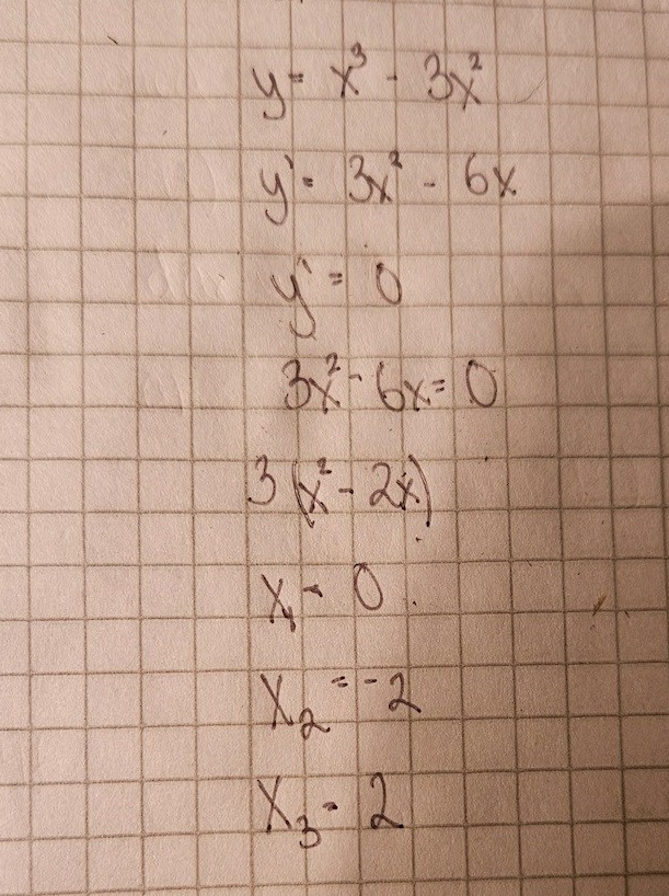
Jag vet inte om jag gör rätt här:
uttrycket för derivatan = 0 är ju en andragradsekvation, men du har fått tre rötter. Det ska bli två rötter. Lättast är om du bryter ut x: y´ = x(3x - 6). Då ser du att en av rötterna är noll och en är 2. -2 är ingen lösning
Janne491 skrev:uttrycket för derivatan = 0 är ju en andragradsekvation, men du har fått tre rötter. Det ska bli två rötter. Lättast är om du bryter ut x: y´ = x(3x - 6). Då ser du att en av rötterna är noll och en är 2. -2 är ingen lösning
Vad blir x?
Janne491 skrev:uttrycket för derivatan = 0 är ju en andragradsekvation, men du har fått tre rötter. Det ska bli två rötter. Lättast är om du bryter ut x: y´ = x(3x - 6). Då ser du att en av rötterna är noll och en är 2. -2 är ingen lösning
Jag får x=0 x=2 och x= -2
Hur får du -2?
y´ = x (3x - 6) består av två faktorer: x och (3x-6). Y´ blir noll om någon av faktorerna blir noll. Dvs om x = 0 eller om (3x-6) = 0.
Janne491 skrev:y´ = x (3x - 6) består av två faktorer: x och (3x-6). Y´ blir noll om någon av faktorerna blir noll. Dvs om x = 0 eller om (3x-6) = 0.
Ok så de blir bara 2
Ja. Nu har du två nollställen för derivatan: X = 0 och x = 2.
Hur avgör du om de är maximum, minimum eller terasspunkter?
Jag bryter nu, men för att ta reda på det finns två alternativ:
Antingen gör du en värdetabell och tittar om värden på båda sidor om 0 (tex -1 och 1) och 2 (tex 1 och 3).
Andra sättet är att titta på andraderivatan y´´ . Om y´´ > 0 för det aktuella x-värdet är det ett minimum, om y´´< 0 är det ett max och om y´´ = 0 är det en terasspunkt
Janne491 skrev:Ja. Nu har du två nollställen för derivatan: X = 0 och x = 2.
Hur avgör du om de är maximum, minimum eller terasspunkter?
Ta reda på y värdet då jag sätter dit x i y(x)
03-3(0)3=0
(2)3 -3(2)3=8-24 =16
Sen kan jag ta ett tal mellan 0 och 2 för att se var linjen är på väg och ett större tal än 2 och mindre än 0
Ungefär så ja. Du ska få ett max för x= 0 och ett min för x = 2.
Y(-1) = -4, y(0) = 0, y(1) = -2 alltså ett maximum för x = 0
och så vidare
Janne491 skrev:Ungefär så ja. Du ska få ett max för x= 0 och ett min för x = 2.
Y(-1) = -4, y(0) = 0, y(1) = -2 alltså ett maximum för x = 0
och så vidare
"Ungefär" var de nånting som jag sa var fel?
Nej det var helt rätt. (Fast inte linjen utan kurvan om man ska va riktigt petig).