Extrem svår faktoruppdelning av polynom
Det här ska man faktoruppdela jag får det bara till:
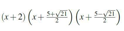
Kan någon snälla visa hur man kommer fram till:
hitta nollställen till det här är omöjligt så vad ska jag göra för något?
Om du använder satsen om rationella rötter ser du att de enda möjliga rationella rötterna är 1,2, -1 eller -2. Efter att ha bekräftat att -2 är en rot kan du dividera polynomet med (x+2) och hitta rötterna till kvoten, som då är ett andragradspolynom.
Varifrån kommer uppgiften? Den ser inte ut som en typisk Ma3-uppgift.
Smaragdalena skrev:Varifrån kommer uppgiften? Den ser inte ut som en typisk Ma3-uppgift.
Det är från sommarmatten som är dedikerade till eleverna som vill göra mafy antagningsprovet. Däremot när jag kollar på uppgifterna i mafy provet ser jag inte en enda faktoruppdelningsuppgift!!!!

https://www2.math.su.se/~joeb/public/algokomb/extra/rationellarotter.pdf
Det här är den bästa förklaringen jag har hittat hittills men jag förstår inte vilket av dem är p och q!
Vad menar du? p är täljaren och q nämnaren som det står i texten.
martinmaskin2 skrev:Smaragdalena skrev:Varifrån kommer uppgiften? Den ser inte ut som en typisk Ma3-uppgift.
Det är från sommarmatten som är dedikerade till eleverna som vill göra mafy antagningsprovet. Däremot när jag kollar på uppgifterna i mafy provet ser jag inte en enda faktoruppdelningsuppgift!!!!
Vad menar du med att sommarmatten är dedikerad till de som vill skriva mafy-provet? Sommarmatten är väl en förberedelse inför högskolan i första hand?
Den här uppgiften löser man inte när man läser Ma3. Man behöver åtminstone Ma4 för att kunna läsa den, om ens det räcker.
parveln skrev:Vad menar du? p är täljaren och q nämnaren som det står i texten.
Men man dividerar inte polynomet?!
martinmaskin2 skrev:parveln skrev:Vad menar du? p är täljaren och q nämnaren som det står i texten.
Men man dividerar inte polynomet?!
Jo.
Smaragdalena skrev:martinmaskin2 skrev:parveln skrev:Vad menar du? p är täljaren och q nämnaren som det står i texten.
Men man dividerar inte polynomet?!
Jo.
Hur ska jag veta med vad man dividerar det med?, (x-2) ??
Läs vad det står i bilden du la upp.
Antag att p/q är en rot till ekvationen... så skall vi visa att ao (konstanttermen) är jämnt delbar med p (rotens täljare) och att an(koefficienten för högstagradstermen) är jämnt delbar med q (rotens nämnare). Detta gör att man har ett hyfsat litet antal tänkbara rötter värda att prova. Det är inte säkert att man hittar någon rot på det sättet, men det kan vara värt att pröva.
parveln skrev:Vad menar du med att sommarmatten är dedikerad till de som vill skriva mafy-provet? Sommarmatten är väl en förberedelse inför högskolan i första hand?
Ja...? Dessutom skrivs mafy på våren. Och ja, den innehåller inte såmma här uppgifter.
Jaha, :( så ingen vet hur man kommer steg för steg fram till faktoriseringen?
martinmaskin2 skrev:Jaha, :( så ingen vet hur man kommer steg för steg fram till faktoriseringen?
Läs detta svar igen. Där.står det du efterfrågar.
Yngve skrev:martinmaskin2 skrev:Jaha, :( så ingen vet hur man kommer steg för steg fram till faktoriseringen?
Läs detta svar igen. Där.står det du efterfrågar.
Men jag vet inte hur man kommer fram till täljaren fastän jag vet nämnaren=(x+2)?!
Du kan även tänka så här:
Eftersom det står plus mellan alla termer i vänsterledets polynom och summan ska vara lika med 0 så måste vissa termer vara negativa.
De enda termer som kan vara negativa är och .
Dessa termer är endast negativa om .
Du kan då pröva dig fram med , och så vidare tills du hittar en rot. Säg att är en rot. Du kan då bryta ut faktorn ur polynomet och får du enligt nollproduktmetoden en andragradsekvation att lösa för att hitta de andra två rötterna.
martinmaskin2 skrev:
Men jag vet inte hur man kommer fram till täljaren fastän jag vet nämnaren=(x+2)?!
Vad menar du?
Om du gissat dig fram till att är en rot så vet du att är en faktor i vänsterledets polynom, dvs att , där är ett andragradspolynom.
Ekvationen kan alltså skrivas och enligt nollproduktmetoden kan du du få fram de andra två rötterna genom att lösa ekvationen .
För att bestämma kan du använda polynomdivision eftersom det enligt ovan gäller att .
Eftersom du har lagt den här uppgiften på Mat kan du ansätta ett andragradspolynom ax2+bx+c, multiplicera ihop det med faktorn x+2 och bestämma koefficienterna genom att jämföra dem med ursprungspolynomet x3+7x2+11x+2. Man ser t ex genast att a = 1.
Om du hade lagt tråden i Ma4 skulle jag ha rekommenderat polynomdivision.