Extrempunkter till h(x)
Hej, har stött på denna uppgift:
(Nr. 24)
Så här långt har jag kommit:
vet ej hur jag ska fortsätta för att bestämma extrempunktens karaktär. Det känns väldigt jobbigt att behöva derivera en gång till. Däremot vet jag inte hur jag ska tänka gällande teckentabell. Värdet på a är ju okänt.
Om du inte vill derivera igen, så kan du också helt enkelt prova en punkt nära och jämföra dess värde.
IOM att du inte vad a är, men du vet att det är större än noll(!), så kan du t.ex prova exp(-1/2a).
Det går att derivera igen, men man kan även dra slutsatser från vad som händer när
x går mot 0
x går mot oändligheten
pepsi1968 skrev:Om du inte vill derivera igen, så kan du också helt enkelt prova en punkt nära och jämföra dess värde.
IOM att du inte vad a är, men du vet att det är större än noll(!), så kan du t.ex prova exp(-1/2a).
Hmmm, hur kan jag tänka då?
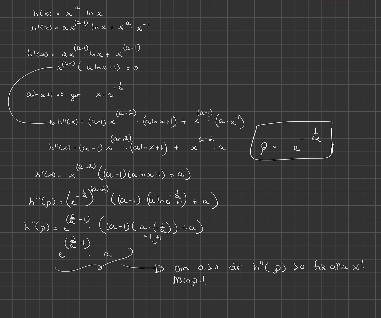
Hej, är det någon som vet hur andraderivatan kommer att se ut för funktionen? Jag försöker och försöker men kommer inte fram till rätt svar.
Eftersom h'(x) är en produkt av två funktioner så måste du använda produktregeln igen när du deriverar den.
Visa dina försök så hjälper vi dig att hitta felet.
Börja med att förenkla xa/x till xa-1
Anonym_15 skrev:Hej, är det någon som vet hur andraderivatan kommer att se ut för funktionen? Jag försöker och försöker men kommer inte fram till rätt svar.
Ett tips är att använda denna: https://www.derivative-calculator.net/
Den ger dig steg för steg derivering (finns samma för integraler).
Ang hur du kan tänke genom att prova en punkt;
Om du undrar om x=a är ett minimum eller maximum, provar du då en punkt som är precis innan / efter så förväntar du specifika saker. Om x=a+1 ger ger ett värde större än vid x=a, då vet vi att det är ett minimum. Detta är dock inte särskilt snyggt, alltid. Men funkar ofta!
Yngve skrev:Eftersom h'(x) är en produkt av två funktioner så måste du använda produktregeln igen när du deriverar den.
Visa dina försök så hjälper vi dig att hitta felet.
Börja med att förenkla xa/x till xa-1
Så här gjorde jag. Tror det är fel eftersom min lärare visade på ett annat sätt. Jag försökte göra om den men vet ej om jag kommer fram till samma förenkling av andraderivatan.
Jag ser inga fel i dina räkningar, men du slarvar lite här

men du tänker rätt.
Okej, tack! Menar du att jag tydligt måste skriva att a * ln e ^(-1/a) = 0?