Extremvärde


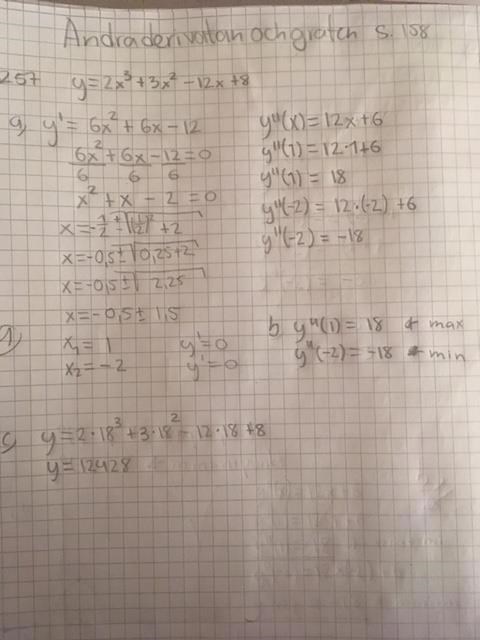
Har problem med fråga c. Hur tar jag reda på extremvärdena? Det jag gjort på pappret på C var bara chansning men det stämmer inte med facit så antar att det inte är så jag ska göra.
Du ska inte sätta in y'' i formeln för y, du ska sätta in de båda x1 och x2 du fick fram förut.
Tack :)
Nu ska jag skissa grafen. Vad är det som talar om för mig vilken punkt som är minpunkt och maxpunkt förutom att (-2,28) måste vara maxpunkt och (1,1) minpunkt för att jag ska kunna rita den (antar jag). För jag tänker att det borde vara tvärtom om jag tittar på y´´(-2) då är den ju minpunkt. Men jag kanske blandar ihop saker nu också..
tänk att tecknet på y" säger om gubben ska vara glad eller ledsen. Om du ser grafen som en mun ;P
Om andraderivatan är negativ säger det att derivatan minskar. Om funktionen slutar växa måste den tillslut gå nedåt, vilken typ av punkt har du då?