2
svar
155
visningar
petti behöver inte mer hjälp
Extremvärde
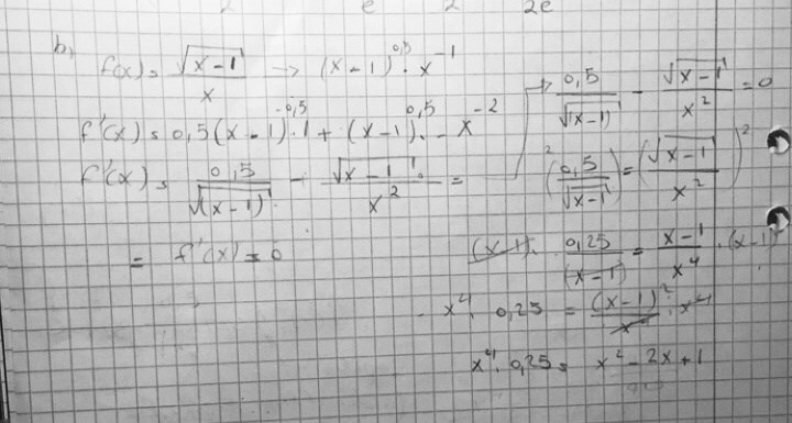
Hej! uppgiften är att man ska söka eventuella extremvärden till f(x)= /x
Jag gjorde såhär men det blir fel.I facit deriverade de funktionen genom att använda kvotregeln.Men varför kan man inte tänka som jag gjorde?Men jag kunde inte komma längre. 
Jag skulle göra som du och använda produktregeln, men du har missat lite när du använder den - du har multiplicerat derivatan av första faktorn med 1 när du borde ha multiplicerat den med x-1.
Aaa juste!! Tack Smaragdalena!