f´(3x)

Hej!
Jag förstår inte vad som händer här. Hur kan man byta ut x mot u ? och hur kan u^2/27 vara lika med x^2/27?
Hur lyder uppgiften?
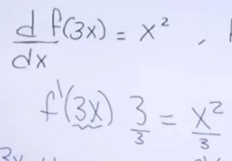
Är det f(3x) = x2 eller f'(3x) = x2?
Yngve skrev:Hur lyder uppgiften?
Är det f(3x) = x2 eller f'(3x) = x2?
Jag vet faktiskt inte, det står bara som det står i bilden
OK då förstår inte jag heller uppgiften.

På första raden står det att f'(3x) = x2
På andra raden står det att f'(3x).= x2/3
Varifrån har du hämtat uppgiften/lösningen?
Yngve skrev:OK då förstår inte jag heller uppgiften.
På första raden står det att f'(3x) = x2
På andra raden står det att f'(3x).= x2/3
Varifrån har du hämtat uppgiften/lösningen?
Det är en Yotube film där de går igenom blandade uppgifter. Bilden är klippt från filmen, alltså det är inte mina anteckningar.
Kan du skicka en länk till filmen?
Yngve skrev:Kan du skicka en länk till filmen?
Det kan jag, men det är inte på svenska, inte heller på engelska. Är det okej?
Yngve skrev:Hur lyder uppgiften?
Är det f(3x) = x2 eller f'(3x) = x2?
Jag tror det skall vara:
Låt oss substituera in
Då får vi att:
Kedjeregeln ger att:
Det sista är ett uttryck för derivatan av i en ensam variabel
som beror enbart på den variabeln.
Då spelar det ingen roll om den variabeln heter eller .