4
svar
126
visningar
Nichrome behöver inte mer hjälp
f(x) = cos²3x-sin²3x

jag skrev om funktionen med trigonometriska etta
och fick f(x) = 1-2sin3x
Kan inte vara F(x) = x+2cos3x ?
Det saknas väl en kvadrat?
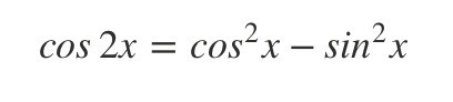
Vad tror du om dubbla vinkeln för cosinus?
Dr. G skrev:Det saknas väl en kvadrat?
Vad tror du om dubbla vinkeln för cosinus?
var/hur ska jag använda dubbla vinkeln för cosinus?
funkar inte ?
Kvadraten som saknas: Din omskrivning blir 1-2(sin3x)^2
Men du kan också använda:
använd att
dvs
Här har du en funktion med en konstant som inre derivata