f´(x) parallell med rät linje
Hej.
Kan inte förstå en sak i följande uppgift:
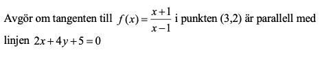
Uppgift:

Egna tankar
Nedan ser ni två bilder. Den första är min lösning. Den andra är f´(3). Det som jag tycker är knäppt här är att i min grafräknare ger f´(3) ett positivt värde=1/2. Medan jag i min uträkning får lutningen i punkten till samma värde fast negativt: -1/2. Hur kommer det sig att dessa skiljer sig åt? Varför detta bekymrar mig är för att jag vill kunna "dubbelkontrollera" mina svar grafiskt i räknaren. Som alltid tack för den tid ni tar till att hjälpa till!


Du har inte ritat in rätt graf, kontrollera igen.
Det gäller nämligen att:
och
Vad du har gjort är att du har ritat upp derivatan på din miniräknare och sedan beräknat derivatans derivata, d.v.s. andraderivatan i punkten .
Vad du ska göra är att rita in den ursprungliga funktionen och sedan gå på 2nd CALC och räkna ut derivatan.
Det verkar som att du plottat förstaderivatan: . Det innebär att om du sedan läser av av den så blir det i själva verket andraderivatan.
Tack för snabba svar ni är super nu förstår jag!