F1) Sönderfall av kalciumisotop
F1) Kärnfysik
Kan någon vänligen rätta denna fråga?
Beräkna energin som frigörs när Ca-39 sönderfaller.
Isotopen har β+-sönderfall.
Reaktionsformeln blir:
| Före | Efter |
|
Massa: 38.9797108 - 20e
= 38.9687392 u |
Massa: 38.96370649 - 19e + e = 38.96370649 - 18e = 38.95383205 u |
Före - Efter = 38.9687392 - 38.95383205 = 0.01490715 u
E = 0.01490715 · 931.494 ≈ 14 MeV per sönderfall
Tack för hjälpen!
Mesopotamia skrev:E = 0.01490715 · 931.494 ≈ 14 MeV per sönderfall
Googling ger 5,5 MeV: https://periodictable.com/Isotopes/020.39/index.p.dm.prod.html
Okej. Kan du vänligen se över min uträkning (metod), var har det blivit fel?
Jag vill gärna ha hjälp på traven så att jag förstår var det blivit fel, och så att jag kan lära mig inför framtiden.
Kan det vara så att du har tappat bort 20 elektroner i kalciumatomen, men bara 19 i kaliumatomen?
Vad menar du?
Se Pieters tips i din andra tråd
Tipset förstod jag inte. Hur är det relevant i min situation?
Har du vänligen möjlighet att förklara hur jag tappat elektroner på något sätt?
I VL har jag 20 st elektroner, i HL har jag 19 st + 1 positron, vilket gör att det totalt finns 18 st elektroner. Är det fel?
Jag brukar tänka att alltid ge uträkningar när jag ställer mina frågor, men det verkar inte vara tillräckligt. Jag lägger till mer kontext mer än gärna om ni vill ha det Smaragdalena och Pieter Kuiper. Jag vill självklart underlätta för er att hjälpa mig och få svar.
Men jag tycker själv inte alls om att räkna på detta (det får alldeles för mycket tid på skolan, det är nog något från den svenska atomtiden). Jag gav dig en länk till "facit" som innehåller också nuklidmassa som du kan jämföra dina beräkningar med.
Okej, tack för länken, men det hjälpte mig inte vidare tyvärr. Nuklidmassan är inte densamma. Jag är vilse i vad jag ska göra. Siffrorna är mindre viktiga, om min metod stämmer eller ej är viktigare.
Tack för hjälpen ändå!
Om det är någon annan som tycker om kärnfysik och har ett par minuter över att se över min metod hade jag varit oerhört tacksam.
I VL har jag 20 st elektroner, i HL har jag 19 st + 1 positron, vilket gör att det totalt finns 18 st elektroner. Är det fel?
Ja. Du borde ha 20 elektroner + 1 positron i HL, d v s 21 elektronmassor.
Tack för att du förklarar Smaragdalena. Jag förstår dock inte hur du menar. Diskuterar vi samma sak?
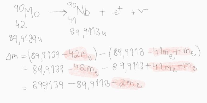
Se bilden nedan från min lärare som löser en liknande uppgift. Jag själv stirrar mig blind på lösningen eftersom jag inte ser någon skillnad med min. Jag löser med precis samma metod.

Var blir det fel?
Mesopotamia skrev:Diskuterar vi samma sak?
Din lärare verkar räkna ut positronens högsta kinetiska energi.
Det är inte samma sak som reaktionens frigjorda energi om man inkluderar positronens annihilering.
Läraren fortsätter sedan med att multiplicera med 931.494 MeV för att få reda på energin.
Frågan är ställd:
"Beräkna hur mycket energi som frigörs när Molybden sönderfaller med beta-sönderfall."
Blir mitt svar rätt då?