Få mig att förstå felet "Om ’=’ används felaktigt". Hjärnsläpp som inte släppt sen den 16:e
Hej.
Hjälp mig att förstå detta.

Mvh
Det är lättare att hjälpa till om du visar precis var det är problem.
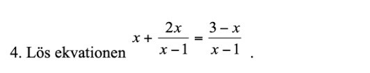
Första raden verkar vara en likhet där man har förlängt varje led med (x-1)
Andra raden stämmer inte. Uttrycket VL är av andra graden men du får det till första graden i H.L.
Du har tydligen en ekvation med nämnare där du först multiplicerar båda leden med (den gemensamma) nämnaren (x-1) för att få en ekvation utan nämnare. Den är förenklad på andra raden.
De överkorsade likhetstecknen ska inte vara där, de är "felaktig användning av =". Ekvationslösning innebär att man på varje ny rad gör en omskrivning av ekvationen (VL = HL) tills man når lösningen. Det ska då inte finnas = mellan raderna. Kedjor uttryck 1 = uttryck 2 = uttryck 3 får man vid förenklingsuppgifter.
Tredje raden kan också förvirra eftersom den inte är ekvationen upprepad utan en förenkling av VL.
Som sagt, det blir tydligare att på varje ny rad ha en omskrivning av hela ekvationen.
x2 - x + 2x = 3 - x
x2 + x = 3 - x
x2 + 2x - 3 = 0
Sedan pq-formeln. Obs att roten x1=1 måste förkastas.
Bubo skrev:Det är lättare att hjälpa till om du visar precis var det är problem.
Första raden verkar vara en likhet där man har förlängt varje led med (x-1)

Felet du gör är att du skriver symbolen = (som betyder "är lika med") när du egentligen menar "leder till att" eller "därför är" eller "nästa steg blir". För att uttrycka det du egentligen menar kan du istället använda symbolen .
Men som Louis beskrev så behöver du inte skriva någon sådan symbol när du pysslar med ekvationslösning, utan det räcker utmärkt att skriva varje steg på en ny rad.