facit har fel?
Jag undrar ifall jag tänk fel eller facit skrivit fel. 
Borde inte denna uppgift ge möjligtheten till två olika trianglar. Den ena där hypothenusan blir 24 och den andra där en av kateterna blir 24. Detta borde ju då förändra resultatet för BC? har jag tänkt fel?
Vem har sagt att trianglarna ska vara rätvinkliga? Det finns många varianter...
Rita en figur så ser du lättare vad som händer. Det finns definitivt möjlighet att välja längden på B så att alla tre varianterna i frågan blir möjliga.
ErikR skrev:Vem har sagt att trianglarna ska vara rätvinkliga? Det finns många varianter...
Ingen har sagt att trianglarna måste vara rätvinkliga, det är ju på sådant sätt man finner den kortaste sidan av BC.
PerEri skrev:Rita en figur så ser du lättare vad som händer. Det finns definitivt möjlighet att välja längden på B så att alla tre varianterna i frågan blir möjliga.
Ja och borde det då inte ge två olika svar? Exempelvis när man väljer hypotenusan som längstaste sida kommer ju värdet på BC som minst vara lägre?
OlafJohansson21 skrev:PerEri skrev:Rita en figur så ser du lättare vad som händer. Det finns definitivt möjlighet att välja längden på B så att alla tre varianterna i frågan blir möjliga.
Ja och borde det då inte ge två olika svar? Exempelvis när man väljer hypotenusan som längstaste sida kommer ju värdet på BC som minst vara lägre?
Bara en kommentar: Hypotenusa och katet finns bara i rätvinkliga trianglar och hypotenusan är längst.
Vad säger facit som du tror är fel?
Laguna skrev:Vad säger facit som du tror är fel?
Ifall, det nu finns två trianglar man kan rita upp, tar facit bara upp där hypotenusan är 24. Det blir väl fel eftersom det finns flera lösningar?
Gå tillbaka till frågan: Undersök vilka val av längden BC som ger upphov till
- En triangel
- Flera trianglar
- Ingen triangel
En enkel figur hjälper till att resonera kring problemet.

Om det ska bli någon triangel över huvud taget måste punkten B ligga någonstans på den streckade linjen.
- Vilken är den kortaste längden på sträckan BC du kan välja för att B över huvud taget ska kunna ligga på den streckade linjen?
- Om BC är kortare än den minsta sträckan, får du då någon triangel alls?
- Om du väljer att låta längden på BC vara större än det minsta värdet, hur många möjliga placeringar av punkten B kan du då göra på den streckade linjen?
- Finns det en övre gräns då längden på BC åter bara tillåter en triangel?
PerEri skrev:Gå tillbaka till frågan: Undersök vilka val av längden BC som ger upphov till
- En triangel
- Flera trianglar
- Ingen triangel
En enkel figur hjälper till att resonera kring problemet.
Om det ska bli någon triangel över huvud taget måste punkten B ligga någonstans på den streckade linjen.
- Vilken är den kortaste längden på sträckan BC du kan välja för att B över huvud taget ska kunna ligga på den streckade linjen?
- Om BC är kortare än den minsta sträckan, får du då någon triangel alls?
- Om du väljer att låta längden på BC vara större än det minsta värdet, hur många möjliga placeringar av punkten B kan du då göra på den streckade linjen?
- Finns det en övre gräns då längden på BC åter bara tillåter en triangel?
Ja och jag har löst den uppgiften,12< x<24 först två lösnigar 12<x ingen lösning <24 ingen lösning. 24<x En lösning. Problemet i min hjärna blir att du valt att sätta ac som hypotenusan. Det innebär ju att den understa gränsen. Blir 12 ifall du däremot sätter 24 som en katet, förändras ju resultatet, eller har jag tänkt helt fel?
Kateter och hypotenusor har bara med rätvinkliga trianglar att göra. Av alla möjliga lösningar är det bara två som är rätvinkliga: då vinkeln B är 90 grader, eller då vinkeln C är 90 grader. Alla andra lösningar är inte rätvinkliga trianglar.
För att vi ska vara överens om lösningarna:
PerEri skrev:Kateter och hypotenusor har bara med rätvinkliga trianglar att göra. Av alla möjliga lösningar är det bara två som är rätvinkliga: då vinkeln B är 90 grader, eller då vinkeln C är 90 grader. Alla andra lösningar är inte rätvinkliga trianglar.
För att vi ska vara överens om lösningarna:
Ja, men min lösningen metod, var ju genom resonemanget att den kortaste sidan borde ju alltid vara den i en rätvinklig triangel. Problemet som uppstår då är ju att man får två lösningar. Hur ska man annars tänka för att lösa denna uppgift? 
OlafJohansson21 skrev:Laguna skrev:Vad säger facit som du tror är fel?
Ifall, det nu finns två trianglar man kan rita upp, tar facit bara upp där hypotenusan är 24. Det blir väl fel eftersom det finns flera lösningar?
Av det du skriver här förstår jag inte vad facit säger. Har du en bild på facit?
Laguna skrev:OlafJohansson21 skrev:Laguna skrev:Vad säger facit som du tror är fel?
Ifall, det nu finns två trianglar man kan rita upp, tar facit bara upp där hypotenusan är 24. Det blir väl fel eftersom det finns flera lösningar?
Av det du skriver här förstår jag inte vad facit säger. Har du en bild på facit?
facit ger bara ena lösningen samma som PerEri har skrivit.
I mitt huvud bordet det ju finnas två svarsalternativ.
Du hänger upp dig på rätvinkliga trianglar. Problemet är mer generellt. Det du visar är två av alla möjliga lösningar. Dina skisser sammanfaller med de två fall som jag beskriver där antingen vinkeln B är 90 grader eller vinkeln C är 90 grader, men det finns oändligt många fler lösningar.
Se t.ex. fallet då sträckan BC är 13 cm. Då får du två möjliga placeringar av punkten B (figuren är inte skalenlig eller superbra ritad, så häng inte upp dig på den exakta längden av sträckorna i figuren). I ena fallet är vinkeln B spetsig och i det andra fallet är vinkeln B trubbig.

PerEri skrev:Du hänger upp dig på rätvinkliga trianglar. Problemet är mer generellt. Det du visar är två av alla möjliga lösningar. Dina skisser sammanfaller med de två fall som jag beskriver där antingen vinkeln B är 90 grader eller vinkeln C är 90 grader, men det finns oändligt många fler lösningar.
Se t.ex. fallet då sträckan BC är 13 cm. Då får du två möjliga placeringar av punkten B (figuren är inte skalenlig eller superbra ritad, så häng inte upp dig på den exakta längden av sträckorna i figuren). I ena fallet är vinkeln B spetsig och i det andra fallet är vinkeln B trubbig.
Ok, ifall jag inte hänger mig upp på rätvinkliga trianglar hur går man då tillväga för att lösa den? Jag löser ju med rätvinklig trianglar för att få det minsta värdet. Men man ska ju inte använda rätvinkliga trianglar.
Jag vet fortfarande inte vad du menar med "Den ena där hypothenusan blir 24 och den andra där en av kateterna blir 24. Detta borde ju då förändra resultatet för BC? har jag tänkt fel?".
Är det fortfarande det du frågar efter?
Laguna skrev:Jag vet fortfarande inte vad du menar med "Den ena där hypothenusan blir 24 och den andra där en av kateterna blir 24. Detta borde ju då förändra resultatet för BC? har jag tänkt fel?".
Är det fortfarande det du frågar efter?
Nja, för någon anledning har mitt huvud fastnat med att det bildas två olika rätvinkliga trianglar, varav en har hypothenusan 24 och en har kateten, för att bestämma kortaste möjliga längd vill jag då ta fram den kortaste kateten. Facit har nog rätt, jag har säkert missat att det är samma triangel.
Läs igenom uppgiften igen. Det står ingenstans i frågan att triangeln måste vara rätvinklig. Det är ett extra villkor som du har hittat på själv.
Smaragdalena skrev:Läs igenom uppgiften igen. Det står ingenstans i frågan att triangeln måste vara rätvinklig. Det är ett extra villkor som du har hittat på själv.
Ja, det är ett extra vilkor som jag har lagt till, men det är väl nödvändigt för att lösa uppgiften? Då triangeln är rätvinklig borde ju sträckan på BC vara som minst. Finns det någon annan lösning metod som jag inte har tänkt på som inte kräver en rätvinkligt triangel?
Rita. Triangeln där sidan BC är så kort som möjligt är rätvinklig, men all aandra trianglar utom en är antingen spestsvinkliga eller trubbvinkliga. Titta exempelvis på PerEri:s bild här
Jag fortsatte på din bild. Det stämmer att man kan bilda flera olika rätvinkliga trianglar i uppgiften, men för den där en katet är 24 lång och den andra kateten x, så finns det en till triangel med den andra kateten x, men då är triangeln inte rät.
Med andra ord, triangeln med den enda (kortaste) lösningen för BC är rät, men att triangeln är rät betyder inte att det är minimal BC, för det finns andra rätvinkliga trianglar som uppfyller villkoren.

Jag återanvänder den utmärkta figuren som PerEri ritat för att ge ett tips på hur du kan tänka.
Fråga 1: Till att börja med, är du med på att det för vissa längder på sidan BC kan bildas två olika trianglar?
Det har PerEri visat genom att ange två olika placeringar av hörn B som båda ger BC sidlängden 13 cm.
------
Men om sidlängden BC är för lång så går det inte att bilda två trianglar utan endast en (nämligen en där hörnet B ligger en bit "nedanför" punkten D, dvs i den röda pilens riktning).
Fråga 2: Ser du varför och kan du se vad maxgränsen på BC är för att det ska kunna bildas två olika trianglar?
---------
Samtidigt måste det finnas en minsta längd på sidan BC för att det överhuvudtaget ska bli en triangel.
Fråga 3: Ser du varför och kan du se vad denna minsta längd är?
----------
Fråga 4: Till sist, finns det någon övre gräns för hur lång sidan BC kan vara, dvs finns det någon begränsning i hur långt ner i pilens riktning som hörn B kan placeras?

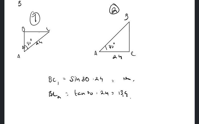
Du har rätt i att det går att bilda två rätvinkliga trianglar här. En där den räta vinkeln ligger vid C och en där den räta vinkeln ligger vid B. Om det är så att du undrar vilken av dem som ger den kortaste sidan BC så kan du enkelt se det i figuren.

Tack så mycket allihop, tror polletten har fallit.