Facit räknar en värmekapacitetintegral fel?
Hej, betrakta:
En ansenlig del av Sveriges totala energiförbrukning används för uppvärmning av bostads- hus. Detta skedde förr ofta genom förbränning av olja i oljepannor, men idag t ex med eluppvärmning eller fjärrvärme.
En annan energikälla som skulle kunna utnyttjas är uppvärmning med hjälp av energin i solljus. På en solig dag är strålningsenergin som träffar jordens yta ca 900W/m2. Denna strålning kan fokuseras och användas för att värma upp en fluid.
Antag att du funderar på att bygga ett hus vars varmvatten ska värmas upp med solenergi (en vanlig värmepanna finns installerad för molniga dagar). Du har beräknat att vattnet behöver flöda till uppvärmningsenheten med ett volymflöde på 0.23 dm3/min. Vattnet som ska värmas har en medeltemperatur på 40 ◦C. Du uppskattar att vattnet bör värmas till 90◦C innan det lämnar värmaren för att sedan gå till en ackumulatortank. Från ackumulatortanken kan vatten sedan pumpas till elementen och kranarna i huset. Genom samråd med en återförsäljare av solljusdrivna uppvärmare har du fått reda på att 30% av energin i det infallande solljuset kommer att kunna användas för uppvärmning av vattnet. Hur stor area kommer solljusinsamlaren behöva?
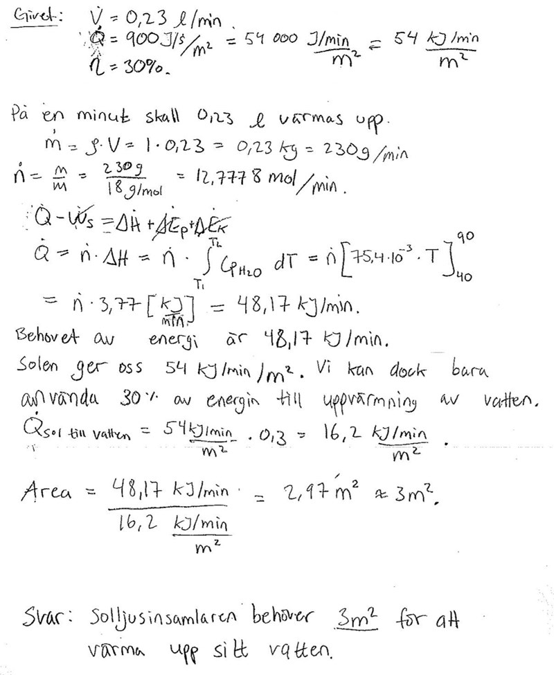
Och facit är:

-------------------------------------------------------------------------------
Men
Varifrån kommer ditt x i integranden? Det är bara en konstant som man integrerar över.
Det är väl den primitiva funktionen som är det du har skrivit som integrand?
För övrigt är temperaturändringen så liten att man nog hade kunnat behandla värmekapaciteten som konstant utan integraler.
Jag glömde att den första termen var konstant, jag har uppenbarligen glömt skillnaden mellan och
Teraeagle skrev:För övrigt är temperaturändringen så liten att man nog hade kunnat behandla värmekapaciteten som konstant utan integraler.
Jag vet, jag tyckte också det, men de är så petiga. Det är en av de få nya sakerna man lär sig i kursen, att vi nu har variabel värmekap. Det tog en halvtimme att förklara på första föreläsningen. Såklart vi måste utnyttja denna metod, även om det inte behövs.