2
svar
137
visningar
Naturareelev behöver inte mer hjälp
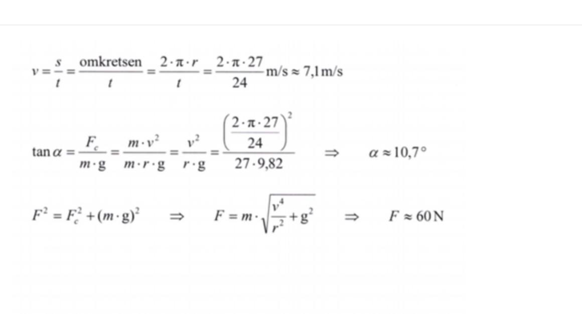
Fågel centripetalkaft
Varför blir det upphöjt med två i sista steget


Pythagoras sats, det borde de ha skrivit.
är denna fråga på A nivå i fysik 2