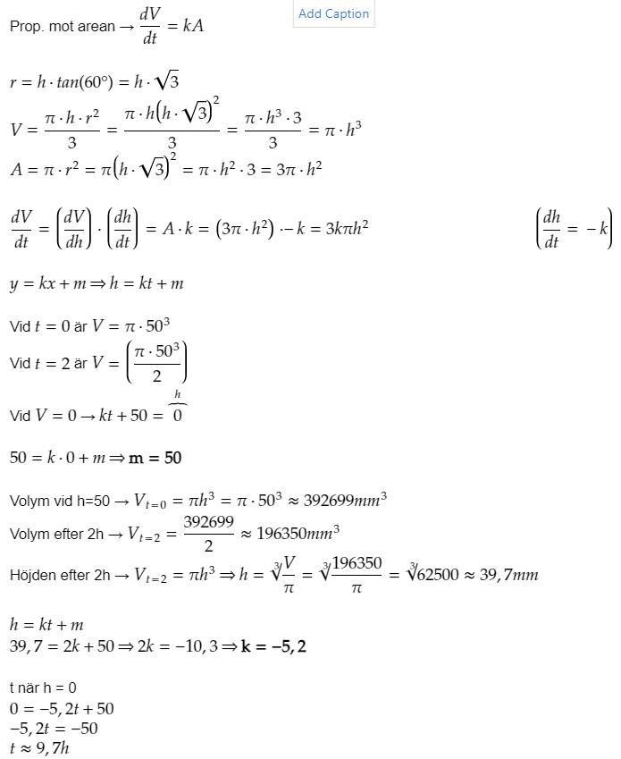
Fågelbad origo 5
Hej! Jag sitter och håller på att lösa en uppgift som ska presenteras inför läraren och klassen som mitt sista projekt i matte 5 och jag tror att jag har en lösning men det är fullt möjligt att jag gjort nått misstag (svaret känns rimligt men idk)


Tack på förhand :)
Detta borde hjälpa dig en bit på väg.
henrikus skrev:Detta borde hjälpa dig en bit på väg.
Hej!
Tack för ditt svar, jag uppdaterade mitt inlägg med något som jag tror jag vara en lösning, vad tror du?
JoarBertholdsson skrev:henrikus skrev:Detta borde hjälpa dig en bit på väg.
Hej!
Tack för ditt svar, jag uppdaterade mitt inlägg med något som jag tror jag vara en lösning, vad tror du?
Jo. Den ser bra ut din lösning. Det är ju volymen man ska räkna på, inte höjden.
Kan någon förklara varför kedjeregeln används?