faktorisera
Hur ska jag faktorisera ut detta så att b-2 står utanför alltså...
(b-2)(...)=0 ?
Jag vet det borde man kunna vid matte 4 men har helt gått vilse behöver hjälp :(
Det är en tredjegradare så standard är att gissa {-2, -1, 0, 1, 2} och om detta är en rot, så kör man poldiv och tar fram en andragradare som man kan lösa med PQ.
b = 0 är en rot. Delar du med b får du en andragradsekvation.
Missade helt att allt har ett b, men då borde TS nog bara bryta ut b och så har man en adragradare direkt man kan lösa.
när jag delar på -b får jag 2b^2-21b+60=0 vad ska jag göra nu med detta? ska jag göra pq? förutsatt att jag delar på 2
Erika.22 skrev:när jag delar på -b får jag 2b^2-21b+60=0 vad ska jag göra nu med detta? ska jag göra pq? förutsatt att jag delar på 2
Det blir väl två komplexa rötter. Men varför ville du faktorisera ut (b-2) i början?
för att frågan lyder egentligen
jag har gjort :
Men sista delen på min uträkning kan vara fel för jag vet inte hur jag ska faktorisera

Erika.22 skrev:för att frågan lyder egentligen
jag har gjort :
Men sista delen på min uträkning kan vara fel för jag vet inte hur jag ska faktorisera
Aha, men för mig är det lite oklart vad de menar med "max värdet b-a". Svårtolkat vad de menar tycker jag... Vill de hitta gränser för a och b som har så höga värden som möjligt så arean från a till b fortfarande exakt kan bli 0?
Daniel Pedersen skrev:Erika.22 skrev:för att frågan lyder egentligen
jag har gjort :
Men sista delen på min uträkning kan vara fel för jag vet inte hur jag ska faktorisera
Aha, men för mig är det lite oklart vad de menar med "max värdet b-a". Svårtolkat vad de menar tycker jag... Vill de hitta gränser för a och b som har så höga värden som möjligt så arean från a till b fortfarande exakt kan bli 0?
tyckte också att frågan var dåligt formulerad men tror att dem menar att näe y=0 vad blir b-a som störst
Erika.22 skrev:Daniel Pedersen skrev:Erika.22 skrev:för att frågan lyder egentligen
jag har gjort :
Men sista delen på min uträkning kan vara fel för jag vet inte hur jag ska faktorisera
Aha, men för mig är det lite oklart vad de menar med "max värdet b-a". Svårtolkat vad de menar tycker jag... Vill de hitta gränser för a och b som har så höga värden som möjligt så arean från a till b fortfarande exakt kan bli 0?
tyckte också att frågan var dåligt formulerad men tror att dem menar att näe y=0 vad blir b-a som störst
Men nu förstår inte jag vad DU menar :)
Erika.22 skrev:tyckte också att frågan var dåligt formulerad men tror att dem menar att näe y=0 vad blir b-a som störst
Jag tycker att formuleringen är tydlig men konstig.
Tydlig: Om du löser integralen och sätter dess värde lika med 0 så får du en ekvation med de två obekanta storheterna a och b. Det som sedan efterfrågas är det största värde som b-a kan anta givet att ekvationen ska vara uppfylld och att a < b. Det är tydligt
Edit: Nedanstående stämmer inte. Jag tänkte fel.
Konstig: Det finns endast ett val av a och b som uppfyller villkoren, så det är konstigt att fråga efter det största värdet som b-a kan anta.
============
Men jag förstår inte din uträkning. Varför integrerar du från 2 till b? Dessutom har du ändrat en nämnare från 3 till 2 på rad 3.
Yngve skrev:Erika.22 skrev:tyckte också att frågan var dåligt formulerad men tror att dem menar att näe y=0 vad blir b-a som störst
Jag tycker att formuleringen är tydlig men konstig.
Tydlig: Om du löser integralen och sätter dess värde lika med 0 så får du en ekvation med de två obekanta storheterna a och b. Det som sedan efterfrågas är det största värde som b-a kan anta givet att ekvationen ska vara uppfylld och att a < b. Det är tydligt
Konstig: Det finns endast ett val av a och b som uppfyller villkoren, så det är konstigt att fråga efter det största värdet som b-a kan anta.
============
Men jag förstår inte din uträkning. Varför integrerar du från 2 till b? Dessutom har du ändrat en nämnare från 3 till 2 på rad 3.
Alltså denna uppgift hade a) fråga även som lydde att man skulle bestämma b-a när y har sitt största värde och det löste jag bara genom att hitta rötterna på funktionen som man fick och nu på b) frågan vill de ha max värdet b-a om y=0 och därför valde jag att integrera från 2 till b för att hitta b.
Det kanske blir lättare och lösa detta om jag gör en ny tråd och lägger upp frågan och hur jag har gjort där? Kan ni hjälpa mig då där? :)
på rad 3 la jag in bara mina gränser på integralen eftersom F(b)-F(a) tänkte jag eller vilken nämnare menar du?
Yngve skrev:Erika.22 skrev:tyckte också att frågan var dåligt formulerad men tror att dem menar att näe y=0 vad blir b-a som störst
Jag tycker att formuleringen är tydlig men konstig.
Tydlig: Om du löser integralen och sätter dess värde lika med 0 så får du en ekvation med de två obekanta storheterna a och b. Det som sedan efterfrågas är det största värde som b-a kan anta givet att ekvationen ska vara uppfylld och att a < b. Det är tydligt
Konstig: Det finns endast ett val av a och b som uppfyller villkoren, så det är konstigt att fråga efter det största värdet som b-a kan anta.
============
Men jag förstår inte din uträkning. Varför integrerar du från 2 till b? Dessutom har du ändrat en nämnare från 3 till 2 på rad 3.
Största värde b-a kan anta innebär alltså största möjliga avstånd mellan a och b (integreringensbredd) så integralen mellan a och b blir exakt 0? Det var så jag tolkade det först också i så fall. Eller menar man något annat?
Erika.22 skrev:Alltså denna uppgift hade a) fråga även som lydde att man skulle bestämma b-a när y har sitt största värde och det löste jag bara genom att hitta rötterna på funktionen som man fick och nu på b) frågan vill de ha max värdet b-a om y=0 och därför valde jag att integrera från 2 till b för att hitta b.
Tips: Skissa funktionens graf. Fundera på vad det betyder att integralen har värdet 0. Vad kan a och b vara för att detta ska inträffa?
Då ser du kanske att jag hade fel tidigare när jag påstod att der bara finns ett val av a och b som uppfyller villkoren. Det finns flera möjligheter och därmed är inte frågan konstig.
Det kanske blir lättare och lösa detta om jag gör en ny tråd och lägger upp frågan och hur jag har gjort där? Kan ni hjälpa mig då där? :)
Nej du kan fortsätta här, hela frågan gäller ju b-uppgiften.
på rad 3 la jag in bara mina gränser på integralen eftersom F(b)-F(a) tänkte jag eller vilken nämnare menar du?
Här:

Daniel Pedersen skrev:
Största värde b-a kan anta innebär alltså största möjliga avstånd mellan a och b (integreringensbredd) så integralen mellan a och b blir exakt 0? Det var så jag tolkade det först också i så fall. Eller menar man något annat?
Ja, det måste vara så de menar. Men jag drog en felaktig slutsats av det tidigare. Se redigerat svar #11 och nytt svar #14.
Yngve skrev:Erika.22 skrev:Alltså denna uppgift hade a) fråga även som lydde att man skulle bestämma b-a när y har sitt största värde och det löste jag bara genom att hitta rötterna på funktionen som man fick och nu på b) frågan vill de ha max värdet b-a om y=0 och därför valde jag att integrera från 2 till b för att hitta b.
Tips: Skissa funktionens graf. Fundera på vad det betyder att integralen har värdet 0. Vad kan a och b vara för att detta ska inträffa?
Då ser du kanske att jag hade fel tidigare när jag påstod att der bara finns ett val av a och b som uppfyller villkoren. Det finns flera möjligheter och därmed är inte frågan konstig.
Det kanske blir lättare och lösa detta om jag gör en ny tråd och lägger upp frågan och hur jag har gjort där? Kan ni hjälpa mig då där? :)
Nej du kan fortsätta här, hela frågan gäller ju b-uppgiften.
på rad 3 la jag in bara mina gränser på integralen eftersom F(b)-F(a) tänkte jag eller vilken nämnare menar du?
Här:
Jahaa där ser jag mitt fel, ska rätta den på en gång.
Nu är jag super förvirrad om hur jag ska lösa detta, vad menar ni med största avstånd mellan a till b så att den blir noll, när integralen är noll då är arean noll väl?
Är min lösning rätt förutom den nämnaren som jag ska ändra på? och hur ska man göra efter man har löst på ekvationen?
Erika.22 skrev:Nu är jag super förvirrad om hur jag ska lösa detta, vad menar ni med största avstånd mellan a till b så att den blir noll, när integralen är noll då är arean noll väl?
En area kan aldrig vara lika med 0.
Att integralens värde är lika med 0 innebär att funktionens graf ska vara "lika mycket" under x-axeln som ovanför x-axeln.
Det finns flera olika möjligheter att uppnå det.
Skissa funktionens graf. Visa din skiss.
Är min lösning rätt förutom den nämnaren som jag ska ändra på? och hur ska man göra efter man har löst på ekvationen?
Nej den stämmer inte, eftersom du har satt undre gränsen lika med 2. Vad betyder det?
Jaha tänkte att jag skulle sätta samma värde på integralens gränser som jag fick på a) uppgiften vilket var 2 till 5 och tänkte att jag kan antingen sätta 2 till b eller a till 5 och då hitta när det ger att integralen =0 och att rätt rot skulle ge största värdet på
b-a.
Ska jag rita en graf till (7x-x^2-10)?
för att isåfall får jag: nollställena blir ju då 2 och 5

Din graf stämmer inte. Koefficienten framför x2-termen är negativ, så grafen bör se ut som ett uppochnervänt U.
Men det stämmer att nollställena är x = 2 och x = 5.
Rita om, gör parabeln mindre brant, markera två godtyckliga tal a och b på x-axeln och visa i din skiss vad integralens värde motsvarar.
Yngve skrev:Din graf stämmer inte. Koefficienten framför x2-termen är negativ, så grafen bör se ut som ett uppochnervänt U.
Men det stämmer att nollställena är x = 2 och x = 5.
Rita om, gör parabeln mindre brant, markera två godtyckliga tal a och b på x-axeln och visa i din skiss vad integralens värde motsvarar.
Nu tror jag att jag har ritat som du sa men vår integral skulle ju bli 0 och som du sa måste ju övre och undre arean vara lika stora, men hur ska det vara det i min graf , förstår inte hur du menar med markera godtyckliga tal a och b
Din bild är inte korrekt. Läs det som Yngve skrev igen:
Koefficienten framför x2-termen är negativ, så grafen bör se ut som ett uppochnervänt U.
Men det stämmer att nollställena är x = 2 och x = 5.
Din graf ser fortfarande ut som ett U.
Erika.22 skrev:.
Nu tror jag att jag har ritat som du sa men vår integral skulle ju bli 0 och som du sa måste ju övre och undre arean vara lika stora, men hur ska det vara det i min graf , förstår inte hur du menar med markera godtyckliga tal a och b
Typ så här: Rättvänd parabel, godtyckliga a och b.
Kan du med hjälp av den skussen förklara vad integralens värde motsvarar?
Och kan du tänka dig några olika situationer som skulle kunna ge integralen värdet 0?
Rita gärna, det är bra övning.

Jaha nu ser jag vad du menar med, men ska det inte vara att b är "utanför" kurvan på x axeln så att avståndet blir max?
Jo så kanske det blir. Det borde beräkningarna utvisa, när vi kommer fram dit. Men det är ingen idé att börja räkna innan vi vet vad det är vi räknar ut och varför.
Rita därför gärna på liknande sätt några olika scenarios som (ungefärligt) uppfyller villkoren att a < b och att integralens värde är lika med 0.
Och visa oss dina skisser.
Det är bra träning.

Så blev det men hur ska man räkna ut integralerna det blir ju typ konstigt och vad ska man göra efter man har fått fram dem?
Du behöver inte dela upp det i 3 integraler, du kan sätta upp en integral från a till b och sedan sätta dess värde lika med 0.
Alternativt: Om du kan motivera att den största differensen b-a uppnås då a är lika långt till vänster om 2 som b är till höger om b (som du har ritat) så kan du utnyttja symmetrin och endast beräkna integralen från a till 3,5 (eller från 3,5 till b). Även denna integral måste då pga symmetri ha värdet 0.

Tillägg: 27 sep 2022 08:13
Jag skrev fel, menade följande:
"Om du kan motivera att den största differensen b-a uppnås då a är lika långt till vänster om 2 som b är till höger om 5 ..."
Yngve skrev:Alternativt: Om du kan motivera att den största differensen b-a uppnås då a är lika långt till vänster om 2 som b är till höger om b (som du har ritat) så kan du utnyttja symmetrin och endast beräkna integralen från a till 3,5 (eller från 3,5 till b). Även denna integral måste då pga symmetri ha värdet 0.
Okej så jag gjorde som du sa och valde och göra a till 3,5 men kan typ inte lösa detta. har jag gjort rätt? 
Här ska det vara en trea i nämnaren, men det blir ändå en rätt grisig tredjegradsekvation.
Jag tror att du behöver använda räknaren för att hitta närmevärden.

Yngve skrev:Här ska det vara en trea i nämnaren, men det blir ändå en rätt grisig tredjegradsekvation.
Jag tror att du behöver använda räknaren för att hitta närmevärden.
okej då blev det ett annat tal men la in den i wolframalpha och fick att a=7/2 eller a=och a=
Det är nog inte rätt, ååå är så trött på denna uppgift
Erika.22 skrev:
okej då blev det ett annat tal men la in den i wolframalpha och fick att a=7/2 eller a=och a=
Det är nog inte rätt, ååå är så trött på denna uppgift
Det kan inte stämma.
Att ena roten blir 7/2 är rätt (kolla din skiss), men de andra två måste ligga på större avstånd från denna. Den minsta roten måste ju vara mindre än 2 och den största roten måste ju vara större än 5 (kolla din skiss).
Av dessa tre är det den minsta du ska välja.
Men det är bra att fundera på vad de andra två rötterna motsvarar i din skiss.
Yngve skrev:Erika.22 skrev:okej då blev det ett annat tal men la in den i wolframalpha och fick att a=7/2 eller a=och a=
Det är nog inte rätt, ååå är så trött på denna uppgift
Det kan inte stämma.
Att ena roten blir 7/2 är rätt (kolla din skiss), men de andra två måste ligga på större avstånd från denna. Den minsta roten måste ju vara mindre än 2 och den största roten måste ju vara större än 5 (kolla din skiss).
Av dessa tre är det den minsta du ska välja.
Men det är bra att fundera på vad de andra två rötterna motsvarar i din skiss.
Okej så jag ska alltså skriva att dem andra rötterna inte är relevanta till denna fråga men att a=7/2 är rätt för att ja ska välja den minsta så att avståndet blir som störst ellerhur?
Vad ska jag göra nu när jag har a?
Nej, resultatet från Wolframalpha kan inte stämma.
Jag menar att de korrekta lösningarna till ekvationen måste vara sådana att a1 < 2, a2 = 3,5 och a3 > 5.
Det kan du se i din skiss.
Yngve skrev:Nej, resultatet från Wolframalpha kan inte stämma.
Jag menar att de korrekta lösningarna till ekvationen måste vara sådana att a1 < 2, a2 = 3,5 och a3 > 5.
Det kan du se i din skiss.
Jag ser att a1<2 och a3>5 men ser inte att a2=3,5 då om det är så att den är =3,5 kan jag väl utnyttja det på något sätt, men vet inte exakt hur :D
Bra. Du integrerar från a till 3,5 eller hur?
Om a = 3,5 så integrerar du från 3,5 till 3,5 och då blir integralens värde såklart lika med 0.
============
När jag skriver in det i WolframAlpha får jag följande lösningar, men jag kanske har skrivit fel. Börjar bli trött nu:

Yngve skrev:Bra. Du integrerar från a till 3,5 eller hur?
Om a = 3,5 så integrerar du från 3,5 till 3,5 och då blir integralens värde såklart lika med 0.
============
När jag skriver in det i WolframAlpha får jag följande lösningar, men jag kanske har skrivit fel. Börjar bli trött nu:
Jag förstår börjar också att bli trött men snälla lämna inte mig än :(
jag förstod det du skrev men då måste vi ju få ett värde på b som gör att b-a blir max värdet då måste väl b vara 0 om det ens är möjligt?
Pga symmetri gäller att a1 måste ligga lika mycket till vänster om 3,5 som a3 ligger till höger om 3,5.
Samma symmetri ger även att om du istället hade integrerat från 3,5 till b så hade resultatet blivit detsamma.
Detta sammantaget ger att a = a1 och att b = a3
Vilket i sin tur betyder att b-a = a3-a1 5,196 (om WolframAlphas lösning är rätt).
Yngve skrev:Pga symmetri gäller att a1 måste ligga lika mycket till vänster om 3,5 som a3 ligger till höger om 3,5.
Samma symmetri ger även att om du istället hade integrerat från 3,5 till b så hade resultatet blivit detsamma.
Detta sammantaget ger att a = a1 och att b = a3
Vilket i sin tur betyder att b-a = a3-a1 5,196 (om WolframAlphas lösning är rätt).
ÅÅ va komplicerat men ska försöka förstå det du skrev på egenhand tror att jag klarar mig nu, tack så jätte mycket för din hjälp och allt annat :)
OK bra, nu är det sovdags här.
Yngve skrev:OK bra, nu är det sovdags här.
Tack så mycket, godnatt!
Hej!
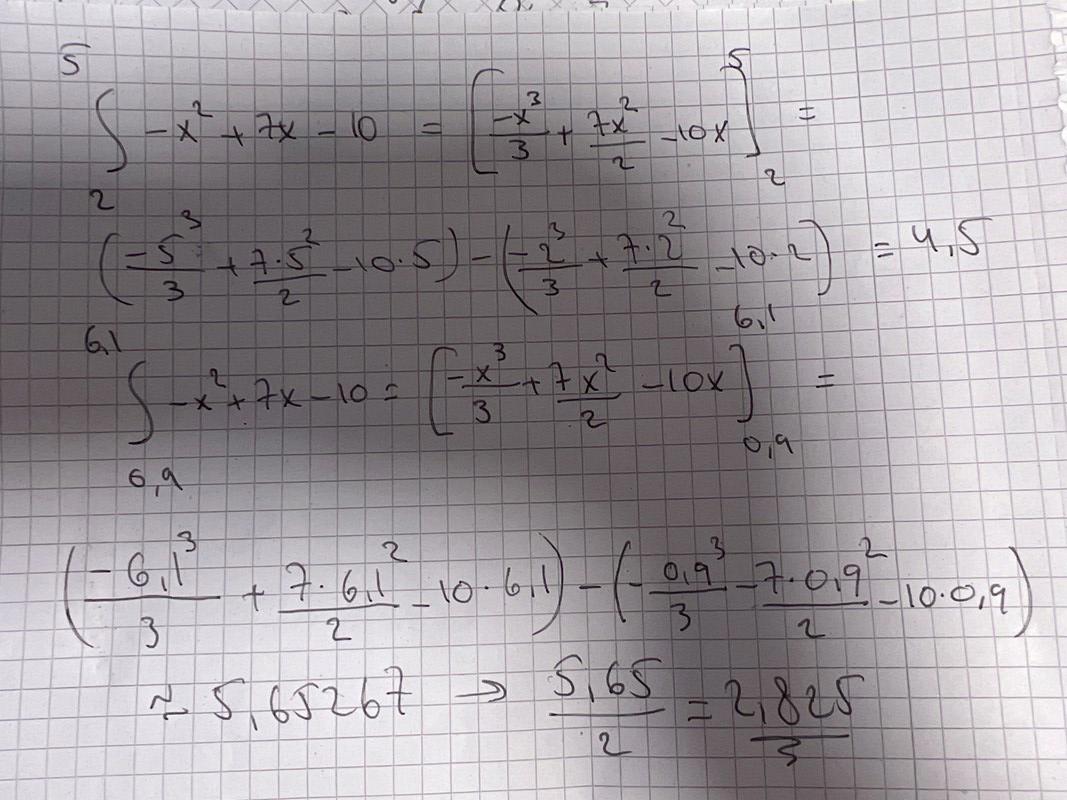
Det vi gjorde var fel, jag har kommit så långt jag tror att det här stämmer mer. kan någon bara dubbelkolla att svaret är rätt? tack!!

Hej.
Du har skrivit att integralens värde med gränserna 0,9 och 6,1 är ungefär lika med 5,65 men det stämmer inte. Värdet är då istället ungefär -0,02 dvs ganska nära 0.
Och jag förstår inte varför något skulle delas med 2.
==============
Hur löd det svar du gav, dvs det som din lärare sa var fel?
===============
Jag påstår att svaret på frågan som den är formulerad här är att maxvärdet av b-a är ungefär 6,098 - 0,902 = 5,196.
Om din lärare säger att det är fel så kanske frågeställningen är annorlunda än den du skrev i svar #7.
Kan du ladda upp en bild på själva uppgiften eller åtminstone dubbelkolla att du skrivit av den exakt?
Yngve skrev:Hej.
Du har skrivit att integralens värde med gränserna 0,9 och 6,1 är ungefär lika med 5,65 men det stämmer inte. Värdet är då istället ungefär -0,02 dvs ganska nära 0.
Och jag förstår inte varför något skulle delas med 2.
Hej!
Hur fick du att integralens värde är -0,02 är det fel på min uträkning då jag fick 5,65?
Hon sa att den delas med två eftersom det är två delar, två snuttar såsom hon beskrev.
Jag påstår att svaret på frågan som den är formulerad här är att maxvärdet av b-a är ungefär 6,098 - 0,902 = 5,196.
Om din lärare säger att det är fel så kanske frågeställningen är annorlunda än den du skrev i svar #7.
Kan du ladda upp en bild på själva uppgiften eller åtminstone dubbelkolla att du skrivit av den exakt?
Frågan jag har lagt upp är det exakt formulerade frågan.
fråga a lyder. bestäm maxvärdet av b-a när c är max. men den har jag redan löst :)
fråga b) bestäm maxvärdet av b-a om c=0.
Hon sa att svaret inte var rätt och att man ska beräkna a till 2 och det ska vara -2,25 då fick man 0,9 då vet man att från 2 till a är det 1,1 mindre och att från 5 till b ska det också vara -2,25 och att det ger 6,1 och därför blev gränserna 0,9 och 6,1 tror jag (hon var väldigt otydlig) och sedan att när man beräknat den så ska man dela det på två för att det var två delar.
Erika.22 skrev:Hur fick du att integralens värde är -0,02 är det fel på min uträkning då jag fick 5,65?
Jag använde WolframAlpha för att beräkna integralens värde med dessa gränser.
Ja det är fel i din uträkning, se bild.

Hon sa att den delas med två eftersom det är två delar, två snuttar såsom hon beskrev.
Men då är det (b-a)/2 hon beräknar, inte b-a.
Frågan jag har lagt upp är det exakt formulerade frågan.
fråga a lyder. bestäm maxvärdet av b-a när c är max. men den har jag redan löst :)
fråga b) bestäm maxvärdet av b-a om c=0.
Hon sa att svaret inte var rätt och att man ska beräkna a till 2 och det ska vara -2,25 då fick man 0,9 då vet man att från 2 till a är det 1,1 mindre och att från 5 till b ska det också vara -2,25 och att det ger 6,1 och därför blev gränserna 0,9 och 6,1 tror jag (hon var väldigt otydlig) och sedan att när man beräknat den så ska man dela det på två för att det var två delar.
Det är lite grann samma resonemang som jag föreslog i svar #28.
Men för att komma fram till att a ska vara ungefär 0,9 måste man antingen lösa en tredjegradsekvation (se svar #30) eller pröva sig fram.
Men som jag skrev ovan, man ska inte dela med 2. Din lärare har fel helt enkelt. Det händer oss alla, även lärare.
Yngve skrev:Erika.22 skrev:Hur fick du att integralens värde är -0,02 är det fel på min uträkning då jag fick 5,65?
Jag använde WolframAlpha för att beräkna integralens värde med dessa gränser.
Ja det är fel i din uträkning, se bild.
Hon sa att den delas med två eftersom det är två delar, två snuttar såsom hon beskrev.
Men då är det (b-a)/2 hon beräknar, inte b-a.
Frågan jag har lagt upp är det exakt formulerade frågan.
fråga a lyder. bestäm maxvärdet av b-a när c är max. men den har jag redan löst :)
fråga b) bestäm maxvärdet av b-a om c=0.
Hon sa att svaret inte var rätt och att man ska beräkna a till 2 och det ska vara -2,25 då fick man 0,9 då vet man att från 2 till a är det 1,1 mindre och att från 5 till b ska det också vara -2,25 och att det ger 6,1 och därför blev gränserna 0,9 och 6,1 tror jag (hon var väldigt otydlig) och sedan att när man beräknat den så ska man dela det på två för att det var två delar.
Det är lite grann samma resonemang som jag föreslog i svar #28.
Men för att komma fram till att a ska vara ungefär 0,9 måste man antingen lösa en tredjegradsekvation (se svar #30) eller pröva sig fram.
Men som jag skrev ovan, man ska inte dela med 2. Din lärare har fel helt enkelt. Det händer oss alla, även lärare.
Men nu förstår jag inte vad symmetrin ska vara, är det 4,5 eller 3,5 för att när även jag räkna på det fick jag 4,5 och det var också det hon sa.
och sen om vi skippar den delen med att dela på två kan man då använda sig av att gränserna är 0,9 till 6,1 förutsatt att det är lika mycket avstånd såsom du motivera #28
Erika.22 skrev:
Men nu förstår jag inte vad symmetrin ska vara, är det 4,5 eller 3,5 för att när även jag räkna på det fick jag 4,5 och det var också det hon sa.
Arean av den del som begränsas av grafen och x-axeln är 4,5 a.e, dvs a.e.
Parabelns symmetrilinje är x = 3,5 eftersom detta värde ligger mitt emellan nollställena x = 2 och x = 6.
Blev det mindre rörigt då?
och sen om vi skippar den delen med att dela på två kan man då använda sig av att gränserna är 0,9 till 6,1 förutsatt att det är lika mycket avstånd såsom du motivera #28
Ja.
Yngve skrev:Erika.22 skrev:Men nu förstår jag inte vad symmetrin ska vara, är det 4,5 eller 3,5 för att när även jag räkna på det fick jag 4,5 och det var också det hon sa.
Arean av den del som begränsas av grafen och x-axeln är 4,5 a.e, dvs a.e.
Parabelns symmetrilinje är x = 3,5 eftersom detta värde ligger mitt emellan nollställena x = 2 och x = 6.
Blev det mindre rörigt då?
och sen om vi skippar den delen med att dela på två kan man då använda sig av att gränserna är 0,9 till 6,1 förutsatt att det är lika mycket avstånd såsom du motivera #28
Ja.
jaha nu förstod jag symmetrin!
Men då blir det
och då undrar jag vad man ska göra för att få rätt för detta blir ju bara -0,02 och inte 0 som uppgiften sa och då är inte 5,2 heller rätt svar?
Se svar #36.
Yngve skrev:Se svar #36.
det metoden med att använda 6,1 och 0,9 som integral gränser och göra b-a gav ju samma som din metod båda blev 5,2 ser jag, men är det bara jag eller är det två olika metoder?
såhär har jag förstått, stämmer detta?

Det finns luckor i ditt resonemang.
- Det är inte symmetrilinjen som ger att a är lika mycket till vänster om 3,5 som b är till höger om 3,5.
- Plötsligt nämner du a1 och a3 utan att förklara vad dessa obekanta står för.
- Sen säger du att a är.3,5 men det stämmer inte.
- Värdet 5,196 kommer också från ingenstans.
Jag tror att det är viktigt att du förstår varför a och b är symmetriskt placerade på var sin sida av symmetrilinjen. För att komma fram till det tror jag att det är värdefullt att du laborerar en del med olika placeringar av a och b liksom jag har gjort i svar #23.
=======
Men nu är jag intresserad av hur lösningen du lämnade till din lärare såg ut.
Kan du visa den?
Erika.22 skrev:
det metoden med att använda 6,1 och 0,9 som integral gränser och göra b-a gav ju samma som din metod båda blev 5,2 ser jag, men är det bara jag eller är det två olika metoder?
Jag kan imte svara på den frågan eftersom jag inte vet vilken metod din lärare använde.
Yngve skrev:Det finns luckor i ditt resonemang.
- Det är inte symmetrilinjen som ger att a är lika mycket till vänster om 3,5 som b är till höger om 3,5.
- Plötsligt nämner du a1 och a3 utan att förklara vad dessa obekanta står för.
- Sen säger du att a är.3,5 men det stämmer inte.
- Värdet 5,196 kommer också från ingenstans.
Jag tror att det är viktigt att du förstår varför a och b är symmetriskt placerade på var sin sida av symmetrilinjen. För att komma fram till det tror jag att det är värdefullt att du laborerar en del med olika placeringar av a och b liksom jag har gjort i svar #23.
=======
Men nu är jag intresserad av hur lösningen du lämnade till din lärare såg ut.
Kan du visa den?
på #38 skrev du att pga symmetri är a1 lika mycket till vänster om 3,5 som b (eller a3) till höger om 3,5 det var så jag uppfattade det men kan ha förstått fel.
kanske borde även vara tydlig med att jag menar att a1 är 0,9 och a2 är 3,5 och a3 är 6,1 , när man tar a3-a1 blir det 6,1-0,9 som blir ungefär 5,2.
detta var vad jag lämnade in innan jag ren skrev den, hoppas den är tydlig :)

Jag tror det är bättre att fortsätta med livehjälpen på den här uppgiften. Då blir det mycket lättare att föra dialog, rita och förklara.
Se PM.
Erika.22 skrev:Yngve skrev:Här ska det vara en trea i nämnaren, men det blir ändå en rätt grisig tredjegradsekvation.
Jag tror att du behöver använda räknaren för att hitta närmevärden.
okej då blev det ett annat tal men la in den i wolframalpha och fick att a=7/2 eller a=och a=
Det är nog inte rätt, ååå är så trött på denna uppgift
Här var du så nära men måste helt enkelt ha läst av svaret fel.
Det rätta svaret (som jag tror wolframalpha försökte ge dig) är:
Tre gånger roten av tre, istället för tredje roten av tre.