Faktorisera 8x²-8x+2=0
Hej, håller just nu att öva på nollproduktsmetoden och skulle därför behöva faktorisera om 8x²-8x+2=0
Har försökt med x(8x-8x+2) och 8x(x-8x+2) men det känns som jag missar något
Varken x eller 8x är en gemensam faktor i de tre termerna så därför kan du inte bryta ut någon av dessa.
Däremot kan du bryta ut faktorn 2.
Hur ser ekvationen ut då?
Yngve skrev:Varken x eller 8x är en gemensam faktor i de tre termerna så därför kan du inte bryta ut någon av dessa.
Däremot kan du bryta ut faktorn 2.
Hur ser ekvationen ut då?
2(4x²-4x+1)?
Ja det är vänsterledet.
Hela ekvationen blir då .
Nu kan du lösa den på vanligt sätt.
Yngve skrev:Ja det är vänsterledet.
Hela ekvationen blir då .
Nu kan du lösa den på vanligt sätt.
Tack! men är det ens möjligt att använda nollproduktsmetoden här? Matteboken nämnde det i samma kapitel så jag trodde jag skulle använda den på varje uppgift, men kanske inte?
Hur kan man faktorisera ?
Eftersom det slutar med 1 så är det troligen ( ?x + 1 ) ( ?x + 1 )
? kan ju vara 4 och 1 eller 2 och 2 vilket tycker du passar?
MatteKemiFysik skrev:
Tack! men är det ens möjligt att använda nollproduktsmetoden här?
Javisst kan du göra det (se nedan) men det behövs inte. Enklare att dividera båda led med 2 och sedan lösa andragradsekvationen som den är.
--- Nedan ---
Ekvationen är
Enligt nollproduktmetoden är en möjlig lösning att 2 är lika med 0. En annan är att .
Eftersom så återstår endast .
--- Ett bra tips ---
När du har faktoriserat ett uttryck så bör du alltid kontrollera faktoriseringen genom att multiplicera ihop faktorerna igen och se om du då får tillbaka ursprungsuttrycket. Om ja så var faktoriseringen korrekt, om nej så var den fel.
Du hade då genast kunnat se att vare sig x(8x-8x+2) eller 8x(x-8x+2) var korrekta faktoriseringar.
Yngve skrev:MatteKemiFysik skrev:Tack! men är det ens möjligt att använda nollproduktsmetoden här?
Javisst kan du göra det (se nedan) men det behövs inte. Enklare att dividera båda led med 2 och sedan lösa andragradsekvationen som den är.
--- Nedan ---
Ekvationen är
Enligt nollproduktmetoden är en möjlig lösning att 2 är lika med 0. En annan är att .
Eftersom så återstår endast .
--- Ett bra tips ---
När du har faktoriserat ett uttryck så bör du alltid kontrollera faktoriseringen genom att multiplicera ihop faktorerna igen och se om du då får tillbaka ursprungsuttrycket. Om ja så var faktoriseringen korrekt, om nej så var den fel.
Du hade då genast kunnat se att vare sig x(8x-8x+2) eller 8x(x-8x+2) var korrekta faktoriseringar.
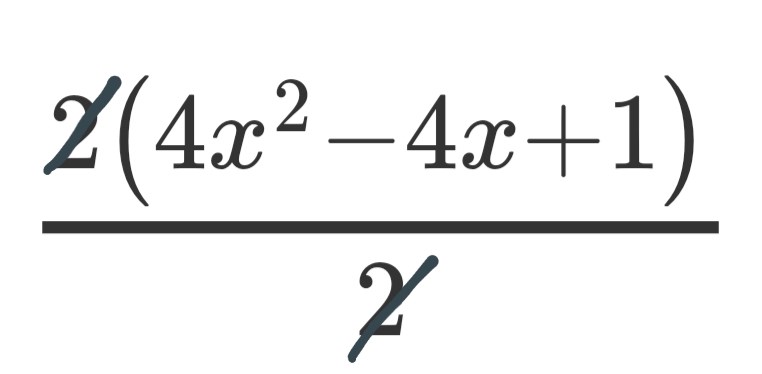
Tusen tack Yngve, men vad menar du med att dividera båda leden? Alltså att jag dividerar 2(4x2−4x+1) / 2?
larsolof skrev:Hur kan man faktorisera ?
Eftersom det slutar med 1 så är det troligen ( ?x + 1 ) ( ?x + 1 )
? kan ju vara 4 och 1 eller 2 och 2 vilket tycker du passar?
Ja jag glömde att man kunde förkorta ner talen så att man hade samma faktor, tusen tack ändå!
MatteKemiFysik skrev:
ATusen tack Yngve, men vad menar du med att dividera båda leden? Alltså att jag dividerar 2(4x2−4x+1) / 2?
I en ekvation så kallas det som står till vänster om likhetstecknet för "vänsterledet" och det som står till höger om likhetstecknet för "högerledet".
Så när jag skriver "dividera båda led med 2" så menar jag "dividera både det som står till vänster och det som står till höger om likhetstecknet med 2".
Dvs
Yngve skrev:MatteKemiFysik skrev:ATusen tack Yngve, men vad menar du med att dividera båda leden? Alltså att jag dividerar 2(4x2−4x+1) / 2?
I en ekvation så kallas det som står till vänster om likhetstecknet för "vänsterledet" och det som står till höger om likhetstecknet för "högerledet".
Så när jag skriver "dividera båda led med 2" så menar jag "dividera både det som står till vänster och det som står till höger om likhetstecknet med 2".
Dvs
Okej! så då blir det alltså 1+2x²-2x+0.5? Och det går alltså att dela 0/2?
MatteKemiFysik skrev:
Okej! så då blir det alltså 1+2x²-2x+0.5? Och det går alltså att dela 0/2?
Nej, i vänsterledet kan du förkorta med 2 så att det bara blir kvar och ja, i högerledet kan du dela 0 med 2 och du får då kvar 0.
(Om du delar 0 i två delar så kommer varje del att innehålla 0, vilket innebär att 0/2 = 0.)
======
Det känns som att du behöver friska upp minnet vad gäller ekvationslösning? Läs det här avsnittet och fråga oss om det du vill få mer förklaring av.
Yngve skrev:MatteKemiFysik skrev:Okej! så då blir det alltså 1+2x²-2x+0.5? Och det går alltså att dela 0/2?
Nej, i vänsterledet kan du förkorta med 2 så att det bara blir kvar och ja, i högerledet kan du dela 0 med 2 och du får då kvar 0.
(Om du delar 0 i två delar så kommer varje del att innehålla 0, vilket innebär att 0/2 = 0.)
======
Det känns som att du behöver friska upp minnet vad gäller ekvationslösning? Läs det här avsnittet och fråga oss om det du vill få mer förklaring av.
Jaha, det är endast tvåan som blir dividerad i VL.. Jag antog att det var alla termer för någon anledning, ska läsa igenom Ekvationsavsnittet och förhoppningsvis så kommer minnet tillbaks :)
Just den delen om tvåan i täljare och nämnare handlar mer om algebra än ekvationslösning.
Det gäller att
Ett kortare sätt att skriva detta är att "stryka" gemensamma faktorer i täljare och nämnare, så här:

MatteKemiFysik skrev:Yngve skrev:MatteKemiFysik skrev:Okej! så då blir det alltså 1+2x²-2x+0.5? Och det går alltså att dela 0/2?
Nej, i vänsterledet kan du förkorta med 2 så att det bara blir kvar och ja, i högerledet kan du dela 0 med 2 och du får då kvar 0.
(Om du delar 0 i två delar så kommer varje del att innehålla 0, vilket innebär att 0/2 = 0.)
======
Det känns som att du behöver friska upp minnet vad gäller ekvationslösning? Läs det här avsnittet och fråga oss om det du vill få mer förklaring av.
Jaha, det är endast tvåan som blir dividerad i VL.. Jag antog att det var alla termer för någon anledning, ska läsa igenom Ekvationsavsnittet och förhoppningsvis så kommer minnet tillbaks :)
Skillnad på termer och faktorer.
2 + 2 + 2 = 6 2:orna är termer, så heter det vid addition ( "plus")
Om du vill dividera här med 2 så ska alla termer divideras
2/2 + 2/2 + 2/2 = 6/2 ----> 1 + 1 + 1 = 3
Men i din uppgift ovan är vänstra ledet faktorer, så heter det vid multiplikation ( "gånger" )
Den ena faktorn är 2 , den andra faktorn är hela parentesen
Här ett annat exempel med faktorerna 2 och (3+5) i vänstra ledet
2 x (3+5) = 16
Om du vill dividera här med 2 så ska bara den ena faktorn divideras