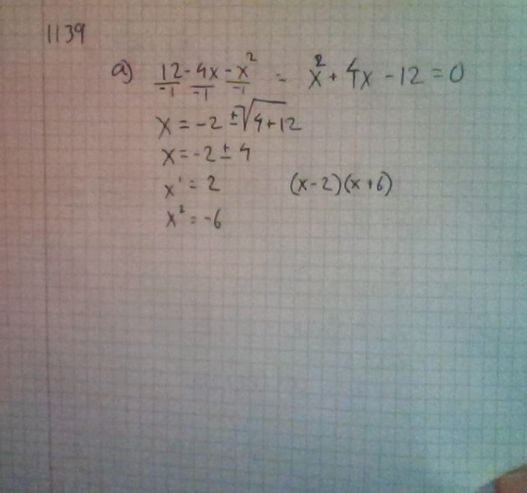
faktorisera dessa polynom så långt som möjligt
12-4X-X2
jag började med att dela allt med -1.
svaret är antingen -(x+6)(x-2) kan också skrivas (x+6)(2-x).
vad gör jag för fel. hur kan det vara minus x

Du gör inte fel, men du delade ju med -1. Då fick du ett annat polynom med samma nollställen. Du måste multiplicera med -1 igen för att få tillbaka det ursprungliga polynomet.
Problemet är att du glömmer bort att du dividerar med -1, vilket byter tecken på polynomet.
Gör istället så här:
Polynomet kan faktoriseras till precis som du konstaterat.
Alltså gäller att
.
ni är grymma!!!
tack
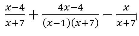
än till fråga när vi ändå håller på
hur kan denna förenklas längre?
Förläng bråk ett och tre med (x - 1), så kan du summera allihop!
Eller dra bort bråk tre från bråk ett först, så blir det enklare.
Lägg varje fråga i en egen tråd, så blir det mindre rörigt! /Smutstvätt, moderator