Faktorisera uttryck
Hej!
Jag skulle faktorisera följande uttryck men jag har fastnat och vet inte hur jag ska göra. Det är multiplikationen i uttrycket som förvirrar mig då uttrycket är en blandning av addition/subtraktion och multiplikation. Jag är van att man går från den ena till den andra, inte både och samtidigt.
Kan någon snälla förklara hur man ska tänka? Tack!
Uttrycket:

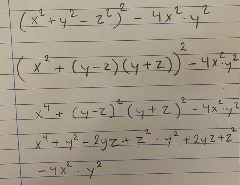
Hej!
Ett annat ex:
Vi börjar med parentesen:
Sen adderar vi att inom den:
Sen förenklar vi det bara så långt det går:
Sar_ah skrev:Hej!
Jag skulle faktorisera följande uttryck men jag har fastnat och vet inte hur jag ska göra. Det är multiplikationen i uttrycket som förvirrar mig då uttrycket är en blandning av addition/subtraktion och multiplikation. Jag är van att man går från den ena till den andra, inte både och samtidigt.
Kan någon snälla förklara hur man ska tänka? Tack!
Uttrycket:
Ser du att det är 2 kvadrater med ett minustecken emellan? Alltså a2 - b2. Den kan du kanske faktorisera?
Peter skrev:Sar_ah skrev:Hej!
Jag skulle faktorisera följande uttryck men jag har fastnat och vet inte hur jag ska göra. Det är multiplikationen i uttrycket som förvirrar mig då uttrycket är en blandning av addition/subtraktion och multiplikation. Jag är van att man går från den ena till den andra, inte både och samtidigt.
Kan någon snälla förklara hur man ska tänka? Tack!
Uttrycket:
Ser du att det är 2 kvadrater med ett minustecken emellan? Alltså a2 - b2. Den kan du kanske faktorisera?
Jag försökte göra så men jag lyckas inte komma fram till ett svar. Facit säger att det ska bli:
(x+y+z)(x+y-z)(x-y+z)(x-y-z)
men hur jag än gör jag förstår inte hur jag ska komma dit?
Sar_ha skrev:
Jag försökte göra så
Visa ditt försök så kan vi se var du fastnar. Jag får samma som facit.
Peter skrev:Sar_ha skrev:
Jag försökte göra så
Visa ditt försök så kan vi se var du fastnar. Jag får samma som facit.
jag fastnar och jag tror att jag gör fel, har försökt ganska länge med uppgiften så det är blankt i mitt huvud nu och känns som att jag missar det viktigaste.
Använd konjugatregeln baklänges innan du utvecklar något: a2-b2 = (a+b)(a-b).