Faktorisera uttryck och partialuppdela den
Hej!
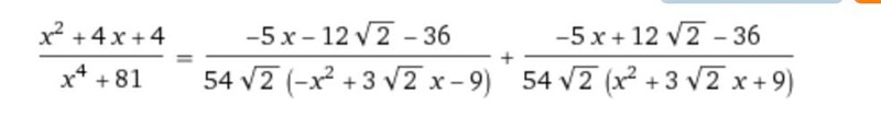
Jag måste partialbråkuppdela hemska uttrycket:
Först har jag uppdelat väldigt länge nämnaren med i 4 olika komplexa tal, för att kombinera de tillbaka i 2 andragrads faktorer.
Då tänkte jag, vad skulle SeriousCephalopod -som älskar kvadratkomplettering så mycket och har kastat oerhört antal timmar att visa hur snabbt det är gång för gång- tänka av mig on hen såg det? Skulle inte hennes stora blekfisk ögon fyllas med tårar av besvikelse?
Så jag tog mig samman:
Så ja, mycket snabbare!
Men nu måste jag partialbråkuppdela. Eftersom dessa två andragrads ekvationer har inga reella lösningar och är irreducibla (jag hoppas att jag har rätt nu annars blir det många tårar i Albiki ögon) då måste min täjlare blir i form Ax+b
Och därifrån måste jag göra den vanliga dvs:
Men är det verkligen detta som måste göras?
Det kommer att vara en fruktansvärt salad av fula tal som stickar ögonen.
Är det verkligen rätt vägg att gå? Jag menar att den här typ fråga kommer på prov (IMORGON!!), så jag kan inte hålla på 20 minuter med det!
Vad gör jag med den 4:an i täljaren förresten?
Jag är stolt och det där är hur jag själv skulle ha angripit problemet. Jag håller med om att det här är irriterande plottrigt men om man biter ihop och är en lydig maskin så faller det hela ut i slutändan. 20min kommer det nog dock att ta... Även om sannolikheten att man gör ett slarvfel mer eller mindre är >50% så syns ändå tekniken och man kommer få sina delpoäng.
4:an i täljaren kan du bara faktorisera ut och lägga åt sidan och sedan bara faktorisera in på slutet.
Vill vi vara kluriga kan vi säkert hitta något trick för att snaba upp processen men trick är ju ändå inte tillförlitliga iochmed att de inte är allmänngiltiga så det är bättre att lära sig grundalgoritmerna väl än att samla på sig en stor repetoar trick.
Jag är som alltid intresserad av optimeringar och kommer fundera på det där lite men jag ser inget just nu och i samma stund som jag har lagt ner 10min på att komma på ett trick så har jag förlorat tid jag skulle kunna vinna av det så bäst att bara köra.
Ok, isf ska jag försöka lite mer bestämt. Kanske ersätta med en bokstav...
Okej detta gör det lite smidigare men verkligen marginellt. Måste erkänna att följande är mestadels slöseri med finess på ett problem utan finess för att vinna 20% i tid men låt mig redovisa det ändå:
När vi kollar på
kan vi ta i åtanke att de två nämnarna var relaterade till varandra och att de egentligen bara skiljer sig i att det är + eller minus vid mittentermen. Låt mig flytta om så att x-termerna hamnar längst bort till höger i parenteserna för att betona detta
De är liksom konjugat av varandra. Detta kan vara lite svårt att följa utan färgkodning men låt mig nu para ihop Ax+B termerna först med
Okej vad var poängen med detta? Nja poängen är att jag hittills sluppit göra parentesmultiplikationer och att jag kommer att bespara mig några rader med att para ihop termer av samma typ utan de är mestadels redan parade.
Multiplicerar hakparenteserna med faktorn brevid dem:
och samlar ihop de som är av samma typ
OJOJOJOJOJOJOJ.......
Jag tror jag ger upp Serious.
Den här går inte!
Jag har försökt:

Jag har sjuvskickat på facit på Wolfram Alfa:

När jag såg detta började alla små röster i min huvud att skricka samtidigt ungefär så här:

Ska vara en fyra framför x^2 också men ja, det går inte att komma undan att det där är ett onödigt plottrigt problem.
Den här problem är helt sjukt.
Jag skulle förlora 30 poäng bara i självförtroende om jag såg den på provet.
SJälva svaret är värt poäng men inte mycket poäng så bara att göra så långt man vill och skriva en rad om hur man i princip ska göra för att avsluta problemet och gå vidare till nästa.
Efter flera dussintals minut kämpande fick vi nästan rätt svar:
Jag undrar fortfarande om den här grej med symmetri. Egentligen behöver vi bara A och C eller B och D... eller tvärtom...
Ush, jag borde bara slappa det...
Tror det är tryckfel, ska vara
Där vi noterar att vilket via vild konjugation ger de snälla nämnarna
Nej tyvärr det stämmer att det är i nämnaren.

Tryckfelet ligger i faktum att detta fråga är värt en poäng, trots att man måste offra åtminstone en vecka av sit preciösa livet...