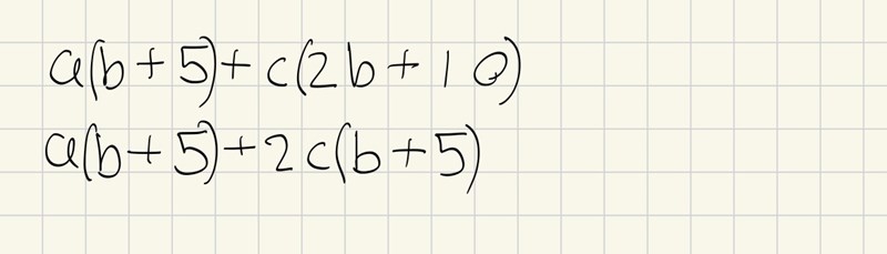
Faktorisera uttrycket a(b+5)+c(2b+10)
Uppgiften och lösningen. Jag är imponerad över att jag kom så långt (och föregående uppgifter gick att lösa ganska snabbt till skillnad från för 4 månader sedan). Men jag gick inte i mål så att säga. Och förstår inte hur man kom fram till den sista faktoriseringen (gulmarkerat). Utvecklar jag svaret ser jag ju att det stämmer men precis innan står det stilla för mig och kan inte koppla det till någon specifik regel.

maratmatorkin skrev:
Och förstår inte hur man kom fram till den sista faktoriseringen (gulmarkerat).
Det hade nog varit lättare att se att .
Jag vet inte varför de vände på det.
maratmatorkin skrev:Uppgiften och lösningen. Jag är imponerad över att jag kom så långt (och föregående uppgifter gick att lösa ganska snabbt till skillnad från för 4 månader sedan).
Bravo! Det visar att övning ger färdighet och att trägen vinner.
Men jag gick inte i mål så att säga. Och förstår inte hur man kom fram till den sista faktoriseringen (gulmarkerat). Utvecklar jag svaret ser jag ju att det stämmer men precis innan står det stilla för mig och kan inte koppla det till någon specifik regel.
[...]
Hade det varit enklare att faktorisera ad+2cd till d(a+2c)?
Pieter Kuiper skrev:maratmatorkin skrev:
Och förstår inte hur man kom fram till den sista faktoriseringen (gulmarkerat).
Det hade nog varit lättare att se att .
Jag vet inte varför de vände på det.
Nu såg jag det! :) Tack!
Yngve skrev:maratmatorkin skrev:Uppgiften och lösningen. Jag är imponerad över att jag kom så långt (och föregående uppgifter gick att lösa ganska snabbt till skillnad från för 4 månader sedan).
Bravo! Det visar att övning ger färdighet och att trägen vinner.
Men jag gick inte i mål så att säga. Och förstår inte hur man kom fram till den sista faktoriseringen (gulmarkerat). Utvecklar jag svaret ser jag ju att det stämmer men precis innan står det stilla för mig och kan inte koppla det till någon specifik regel.
[...]
Hade det varit enklare att faktorisera ad+2cd till d(a+2c)?
Tack Yngve! Det var ett bra tips att se det så.
Yngve skrev:maratmatorkin skrev:Uppgiften och lösningen. Jag är imponerad över att jag kom så långt (och föregående uppgifter gick att lösa ganska snabbt till skillnad från för 4 månader sedan).
Bravo! Det visar att övning ger färdighet och att trägen vinner.
Precis! :) Grit and elbow grease.

