Förenkling
Jag behöver hjälp med en uppgift som jag ska förenkla så långt så möjligt.
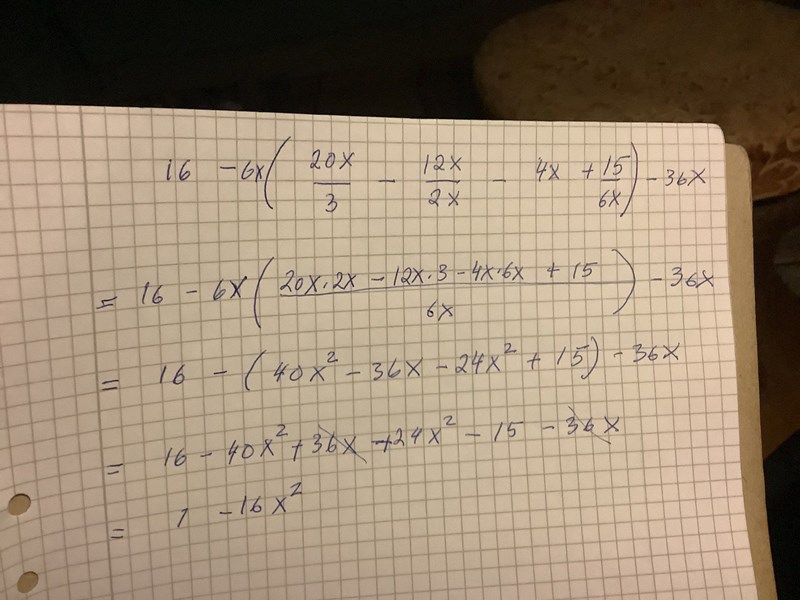
16-6x (4x (5/3-3/2x)-3(4x/3-5/6x))-36x
svaret ska bli 1-16x^2
Multiplicera in i “småparenteserna” först.
Förenkla och multiplicera sedan in i den stora parentesen.

Den är litet lång. Jämför med min lösning.
Förstår inte riktigt andra raden. Ska man inte multiplicera nämnaren med alla andra bråk oså samma med de andra?
Det inom parentesen då
Så rörigt. Jag tar enklare:
10/3 + 5/2+ 7/6 + 8/9
Du måste hitta gemensam nämnare. Nämnarna är 3, 2, 6, 9. Du kan multiplicera alla med varandra men det blir 324, opraktiskt stort. Om man provar ser man att 18 kan delas med alla nämnarna.
10*6/(3*6) + 5*9/(2*9) + 7*3/(6*3)+8*2/ (9*2) =
(60+45+21+16)/18
Blev det klarare?
Jaha. Men varför multiplicerar du 20x med 2x och inte bara 2? Eller kan man ta in ett x ba så?
Du vill ha gemensam nämnare 6x. Under 20x står 3, det ska multipliceras med 2x för att bli 6x. Så då multiplicerar du 20 med 2x
20x/3 = 20x*2x / (3*2x)
Här är bilden från din andra fråga

Funkar?
Jag förstår nu. Sen när man fått 6x i nämnaren ska man inte dela den eller något?
Det är ju så lyckligt att det står 6x utanför parentesen så de förkortas bort.
Gick det att lägga in bilden från andra problemet?
Det är visst problem med bildöverföringen allmänt.
Nej de är frf samma. Men jag förstår denna uppgiften som du nyss förklarade. Kung e du
Roligt att chatta med dig
Jag kan skriva ut lösningen på andra problemet. Är du intresserad eller har du lagt dig nu?
Nej jag har mycket att plugga på så jag lär inte sova än
xy+(x+y)(xy–x)–5[(x^2)y/10 –x^2] =
= xy + [(x^2)y–x^2+x(y^2)–xy] – [5(x^2)y/10–x^2]=
= xy+(x^2)y–x^2+x(y^2)–xy–(x^2)y/2 + 5x^2 =
= (x^2)y/2 +x(y^2)+4x^2