Faktorisering av uttryck vid laplacetransformering
Tjena!
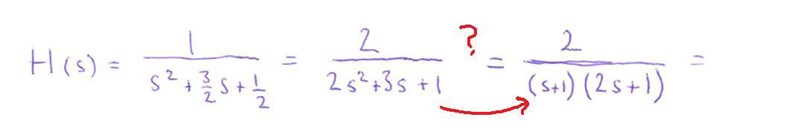
Har fastnat på något till synes rätt klurig faktorisering som jag inte ALLS begriper mig på hur de fått fram det de presenterar (markerat med röd färg). Jag kvadratkompletterade uttrycket via PQ och fick (s-1/2)(s+1) vilket var rätt off. Vad har de egentligen gjort?
Du har faktoriserat fel. Visa steg för steg hur du har gjort, så kan vi hitta var det blev tokigt.
Eftersom det är + mellan alla termer i original-nämnaren måste det vara + i de olika termerna.
Smaragdalena skrev:Du har faktoriserat fel. Visa steg för steg hur du har gjort, så kan vi hitta var det blev tokigt.
Eftersom det är + mellan alla termer i original-nämnaren måste det vara + i de olika termerna.

vart ju knasigt...
Nämnaren: Lös med pq
. Osv.
dr_lund skrev:Nämnaren: Lös med pq
. Osv.
vänta lite... hur i all sin dagar fick du 16 i nämnaren på första faktorn under rottecknet? vi tar ju och kvadrerar (3/2) och får då 9/4..
Pq: "minus halva koeff för s" är - 3/4, inte sant?
Sen ska detta kvadreras. OK?
dr_lund skrev:Pq: "minus halva koeff för s" är - 3/4, inte sant?
Sen ska detta kvadreras. OK?
juste! tack!!