Faktorisering och förenkling av uttryck

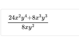
Om jag kollar på täljaren så kan jag se vissa samband, båda uttrycken har 8 och x2 samt y2 i sig.
Täljaren borde ju då gå att skriva om till 8x2y2(3y2+x+y), nämnaren hålls den samma. Men hur gör jag härifrån, jag har kört fast. Kanske har jag heller inte gjort rätt med förenklingen av täljaren.
- Tack för svar :)
Monalisa skrev:
Om jag kollar på täljaren så kan jag se vissa samband, båda uttrycken har 8 och x2 samt y2 i sig.
Täljaren borde ju då gå att skriva om till 8x2y2(3y2+x+y), nämnaren hålls den samma. Men hur gör jag härifrån, jag har kört fast. Kanske har jag heller inte gjort rätt med förenklingen av täljaren.
- Tack för svar :)
Nästan rätt, du har råkat få ett "+" mellan x och y i parentesen, när det bara borde stå xy. Kan du skriva om första faktorn i täljaren, så att du får precis samma sak som i nämnaren? I så fall kan du förkorta.
Hur skulle det bli då?
Försök själv!
Det borde bli: 8xy2(3xy2+x2y) istället på täljaren. Då kan jag få ut uttrycket!!