Faktorisering som blir fel
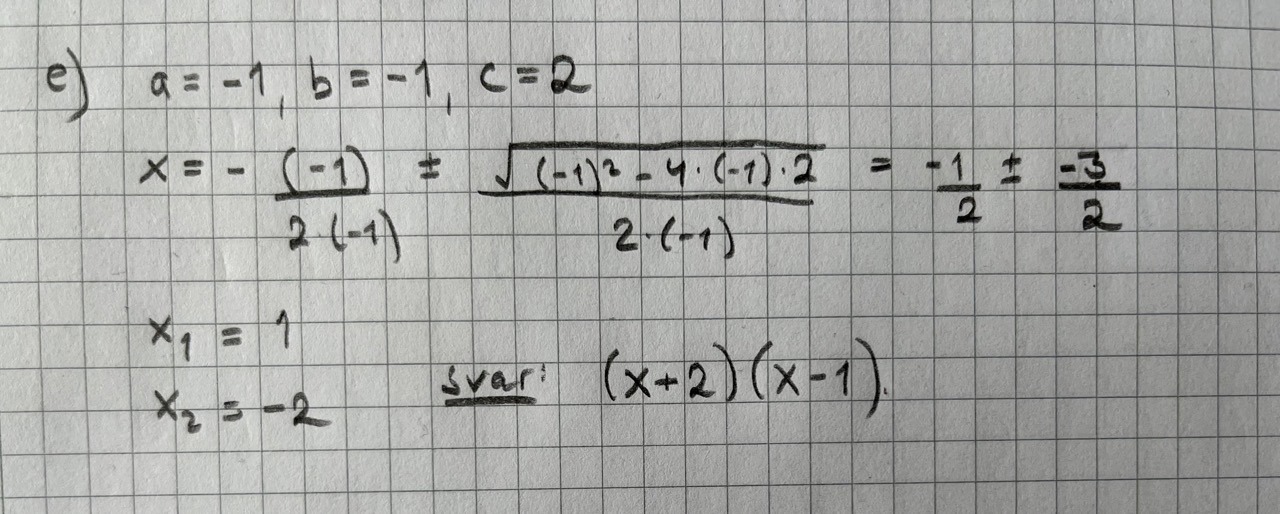
Jag har fastnat på en fråga där jag ska faktorisera polynomet 2 - x - x2 . Ni kan se min uträkning nedan. Jag har nästan fått rätt svar, det som fattas är ett minustecken. Rätt svar ska alltså vara -(x+2)(x-1). Var går det fel i min uträkning? Och var kommer minustecknet ifrån?

Till att börja med kan du se att om du multiplicerar ihop parenteserna i ditt svar så får du inte uttrycket som du hade från början. Men med ett minustecken framför blir det rätt.
Du kan bara använda pq-formeln om a=1, dvs om ekvationen har formen x2 + px + q = 0.
I ditt fall får du börja med att bryta ut -1 ur uttrycket för att sedan lösa ekvationen x2 + x - 2 = 0
-1 kommer att bli en faktor i svaret.
Ditt sätt att använda pq-formeln ger rätt rötter, genom att du sätter in (-1) på olika ställen - jag hänger inte med på hur du tänker där. Men förfarandet är inte korrekt. Edit: se #4.
Du har räknat rätt.
Problemet ligger i att om du multiplicerar med så får du ett nytt polynom med samma lösningar.
har exakt samma rötter som . :)
Jag brukar inte använda abc-formeln, så jag vet inte om man måste ta hänsyn till detta eller inte.
Aha, abc-formeln, nej den ser man inte så ofta. Då får jag rätta mig på den punkten.
När nollproduktmetoden används för att faktorisera ett uttryck, får man fundera om det tillkommer någon konstant faktor framför (x-x1)(x-x2). I det här fallet -1, som man kan bryta ut ur ursprungsuttrycket.
Om du alltså skriver om det uttrycket som -(x2 + x - 2), med koefficienten 1 i x2-termen inom parentesen, stämmer det med nollproduktmetodens (x+2)(x-1). Så att svaret blir -(x+2)(x-1).
Sammanfattning:
Vi har ett polynom P(x) som vi vill faktorisera. För att hitta nollställena löser vi ekvationen P(x) = 0. Men enbart nollställena ger inte tillräckligt mycket information för att faktorisera polynomet eftersom även ekvationen -P(x) = 0 har exakt samma lösningar. Dvs både P(x) och -P(x) har samma nollställen.
Illustration: Röd graf är y = 2-x-x2. Blå graf ör y = -2+x+x2.

Och även alla ekvationer ax2 + ax - 2a = 0.
Genom att bryta ut a ur polynomet (dvs koefficienten i x2-termen) och lösa ekvationen x2 + x - 2 = 0 med rötterna -2 och 1, blir faktoriseringen a(x + 2)(x - 1). Multiplicerar man ihop igen får ju x2-termen koefficienten a, så som var givet från början.
Ja, just så. Tack för generaliseringen. Det jag pratade om var specialfallet a = -1.