2
svar
129
visningar
faktoruppdelning
Hej, behöver hjälp med att första hur man faktoruppdelat här.
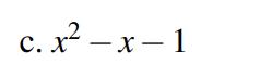
frågan:

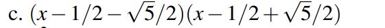
och i facit står det
![]()
hur kommer man fram till detta?
tack på förhand!
När du faktoriserar skriver du om till (x-a)(x-b) där a och b är nollställen till andragradsuttrycket. Hur får du ut nollställena till ditt uttryck?
AndersW skrev:När du faktoriserar skriver du om till (x-a)(x-b) där a och b är nollställen till andragradsuttrycket. Hur får du ut nollställena till ditt uttryck?
ja juste, använder pq-formeln. Fastnade på tankesättet " vad subtraheras till -1(då det är koefficienten framför x) och multipliceras till -1 och fastnade då där. Tack så mycket för hjälpen!!