3 svar
369 visningar
malmizz 5
Postad: 4 jul 2024 17:51

Fällningsreaktion med lösningar av silvernitrat och järnklorid

Så detta är frågan:

"Skriv reaktionsformeln för när en lösning av silvernitrat blandas med en lösning av järnklorid.

Börja med att skriva reaktanterna med kemiska beteckningar (silvernitrat + järnklorid). Silverjonen har laddningen +1 och järnjonen har här laddningen +2.

Ledning:

Nitratjonen har formeln NO3-

Silverjonen har laddningen +1."

 

Mina svar var detta:

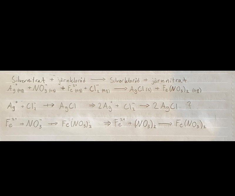
Jag vet att silverklorid betecknas AgCl men för att hela reaktionsformeln ska vara balanserad, måste inte det bli 2AgCl? Är det nödvändigt i denna fråga att balansera ut AgCl eller ska man inte göra det?

Sedan är jag osäker på järnnitratet, eftersom järnjonen har en laddning på 2+ så måste det finnas 2 stycken (NO3), alltså (NO3)2 , sen vet man att järnnitrat är lättlösligt därav bildas ingen fällning av detta? Är detta korrekt eller har jag tänkt fel

Smaragdalena 78892 – Avstängd
Postad: 4 jul 2024 19:27
malmizz skrev:

Så detta är frågan:

"Skriv reaktionsformeln för när en lösning av silvernitrat blandas med en lösning av järnklorid.

Börja med att skriva reaktanterna med kemiska beteckningar (silvernitrat + järnklorid). Silverjonen har laddningen +1 och järnjonen har här laddningen +2.

Ledning:

Nitratjonen har formeln NO3-

Silverjonen har laddningen +1."

 

Mina svar var detta:

Jag vet att silverklorid betecknas AgCl men för att hela reaktionsformeln ska vara balanserad, måste inte det bli 2AgCl? Är det nödvändigt i denna fråga att balansera ut AgCl eller ska man inte göra det?

Jo, det skall man göra. Och det finns ingen jon med formeln Cl2-, utan det är 2 Cl-.

Sedan är jag osäker på järnnitratet, eftersom järnjonen har en laddning på 2+ så måste det finnas 2 stycken (NO3), alltså (NO3)2 , sen vet man att järnnitrat är lättlösligt därav bildas ingen fällning av detta? Är detta korrekt eller har jag tänkt fel

Det är korrekt att järn(II)nitrat är lättlösligt.

Det är möjligt att din kemilärare tycker annorlunda, men min åsikt är att fällningsreakrioner bör skrivas utan åskådarjoner.

malmizz 5
Postad: 5 jul 2024 11:30 Redigerad: 5 jul 2024 11:32
Smaragdalena skrev:

Jag vet att silverklorid betecknas AgCl men för att hela reaktionsformeln ska vara balanserad, måste inte det bli 2AgCl? Är det nödvändigt i denna fråga att balansera ut AgCl eller ska man inte göra det?

Jo, det skall man göra. Och det finns ingen jon med formeln Cl2-, utan det är 2 Cl-.

Sedan är jag osäker på järnnitratet, eftersom järnjonen har en laddning på 2+ så måste det finnas 2 stycken (NO3), alltså (NO3)2 , sen vet man att järnnitrat är lättlösligt därav bildas ingen fällning av detta? Är detta korrekt eller har jag tänkt fel

Det är korrekt att järn(II)nitrat är lättlösligt.

Det är möjligt att din kemilärare tycker annorlunda, men min åsikt är att fällningsreakrioner bör skrivas utan åskådarjoner.

 

Blandade ihop klor och kloridjoner, tänkte att kloridjoner Cl- sitter ihop i ett par så som klor gör men läste på och insåg att klor gör det men inte kloridjoner

Och visst är då järnnitraterna åskådarjonerna?

Smaragdalena 78892 – Avstängd
Postad: 5 jul 2024 13:14

Jörnjonerna och nitratjonerna är åskåderjoner, det stämmer.

Svara
Close