Faltning fouriertransform

Hej!
Jag har fastnat på 1b) när det gäller hur jag ska gå vidare med Fouriertransformen av vänsterledet. Högerledet är straightforward att det blir e^-b|x|/2b.
Vänsterledet är en faltning mellan två funktioner. Vilka funktioner? Vad blir Fouriertransformen av en faltning?
PATENTERAMERA skrev:Vänsterledet är en faltning mellan två funktioner. Vilka funktioner? Vad blir Fouriertransformen av en faltning?
f(t) och g(t)=1/x2+a2
Jepp. Så hur blir hela ekvationen efter Fouriertransformering av båda led?
PATENTERAMERA skrev:Jepp. Så hur blir hela ekvationen efter Fouriertransformering av båda led?

Såhär får jag det till
Lös ut och beräkna inverstransformen.
PATENTERAMERA skrev:Lös ut och beräkna inverstransformen.
Hur menar du?
Om vi kallar Fouriertransformen av f för , så har vi att
.
Lös ut och ta sedan inverstransformen för att få fram f(x).
PATENTERAMERA skrev:Om vi kallar Fouriertransformen av f för , så har vi att
.
Lös ut och ta sedan inverstransformen för att få fram f(x).
Ok. Men varför tar man inversen ?
Du skall ju lösa ekvationen, dvs ta fram vad f(x) är.
PATENTERAMERA skrev:Du skall ju lösa ekvationen, dvs ta fram vad f(x) är.
Ok. Men vi vet att enligt def för fouriertransform så är F[f](w)=integralen av -inf till inf f(x)e^-iwx dx. Varför ska vi inverstransformera nu? Jag trodde man skulle nöja sig med ett svar som F[f]= bla bla
Nja, du löser vad F(w) blir och sedan inverstransformerar du F(w) för att få f(x).
PATENTERAMERA skrev:Nja, du löser vad F(w) blir och sedan inverstransformerar du F(w) för att få f(x).
Hur vet jag att vi är ute efter f(x) här när det står F[f(t)]=...
Det står lös ekvationen, underförstått för den okända funktionen f. f är ju det enda som är obekant i ekvationen så det är klart att det är f man skall bestämma.
PATENTERAMERA skrev:Det står lös ekvationen, underförstått för den okända funktionen f. f är ju det enda som är obekant i ekvationen så det är klart att det är f man skall bestämma.
OK. Så uttrycket på HL är alltså F(w)?

Jag får detta ovan. Hur går man vidare?
Tänk på vilka variabler du använder. Använd tex på Fouriersidan och x på den andra sidan. Nu har du variabeln t i VL och variablerna x och i HL. Det blir konstigt.
Sedan kan du använda en redan känd inverstransform och behöver inte integrera.
PATENTERAMERA skrev:Tänk på vilka variabler du använder. Använd tex på Fouriersidan och x på den andra sidan. Nu har du variabeln t i VL och variablerna x och i HL. Det blir konstigt.
Sedan kan du använda en redan känd inverstransform och behöver inte integrera.
Menar du såhär då? Jag förstår inte vad du menar med känd inverstransform och behöver inte integrera.

Vi vet att . Det kan vi utnyttja här.
PATENTERAMERA skrev:Vi vet att . Det kan vi utnyttja här.
Nu förstår jag inte? Ska jag alltså ta inversen på båda led såhär då?

Nja, vi bestämmer först F.
Sedan inverstransformerar vi f(x) = .
PATENTERAMERA skrev:Nja, vi bestämmer först F.
Sedan inverstransformerar vi f(x) = .
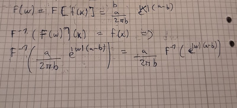
Ja det har vi gjort. Men sen tappar jag bort mig här..
Vi har (jag använder w som variabel istället för x)
.
.
PATENTERAMERA skrev:Vi har (jag använder w som variabel istället för x)
.
.
Jag tror inte jag hänger med på hur du får till detta. Jag har detta nedan:

Tillägg: 31 dec 2025 20:34
Du gjorde lite modifieringar. Men tror jag är med i alla fall